Curiosii for ever!
: Car repair manuals for everyone.
Home
>>
Mercury
>>
2002
>>
Sable V6-3.0L VIN 2 Flex Fuel
>>
Repair and Diagnosis
>>
Powertrain Management
>>
Emission Control Systems
>>
Evaporative Emissions System
>>
Testing and Inspection
>>
Pinpoint Tests
>>
Test B: DTC P0455/P1443 No Flow Detected In System
Test B: DTC P0455/P1443 No Flow Detected In System
B1 - B2:
B2 - B3:
B4 - B5:
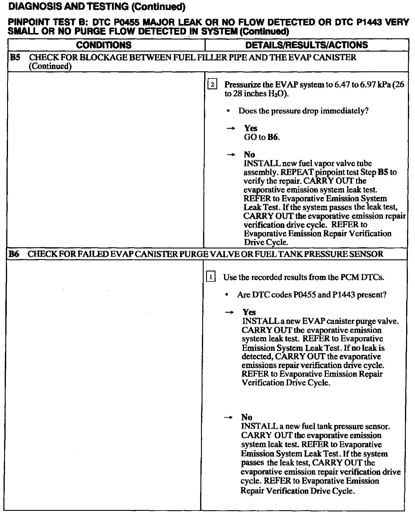
B5 - B6: