Curiosii for ever!
: Car repair manuals for everyone.
Home
>>
Mercury
>>
1994
>>
Capri L4-1597cc 1.6L DOHC
>>
Repair and Diagnosis
>>
Powertrain Management
>>
Computers and Control Systems
>>
Testing and Inspection
>>
Scan Tool Testing and Procedures
>>
Normal Scan Data Values (Includes PID's)
>>
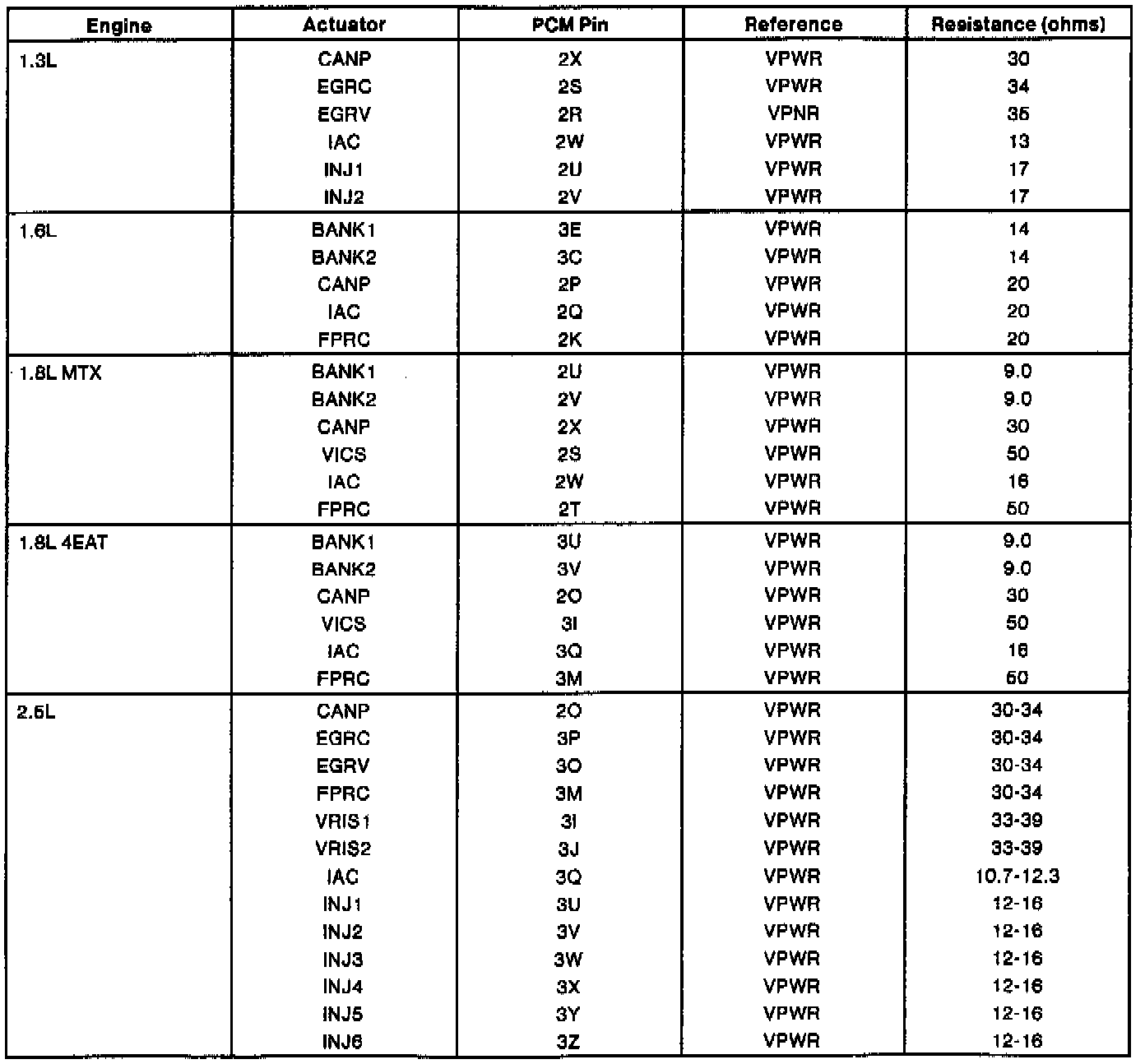
Static Resistance Values
Static Resistance Values
Static Resistance Values: