Curiosii for ever!
: Car repair manuals for everyone.
Home
>>
Mercury
>>
1987
>>
Sable V6-182 3.0L
>>
Repair and Diagnosis
>>
Powertrain Management
>>
Ignition System
>>
Testing and Inspection
>>
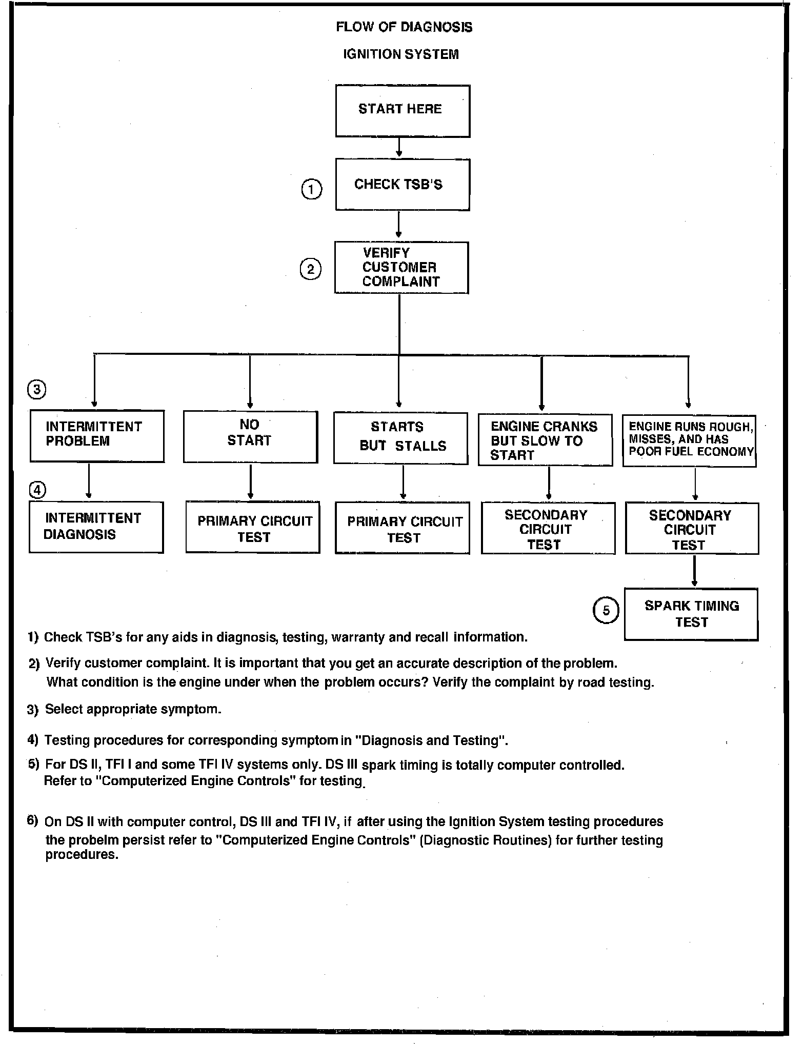
Flow of Diagnosis
Flow of Diagnosis
Flow Of Diagnosis: