Curiosii for ever!
: Car repair manuals for everyone.
Home
>>
Mazda
>>
2012
>>
5 L4-2.5L
>>
Repair and Diagnosis
>>
Windows and Glass
>>
Windows
>>
Testing and Inspection
>>
Symptom Related Diagnostic Procedures
>>
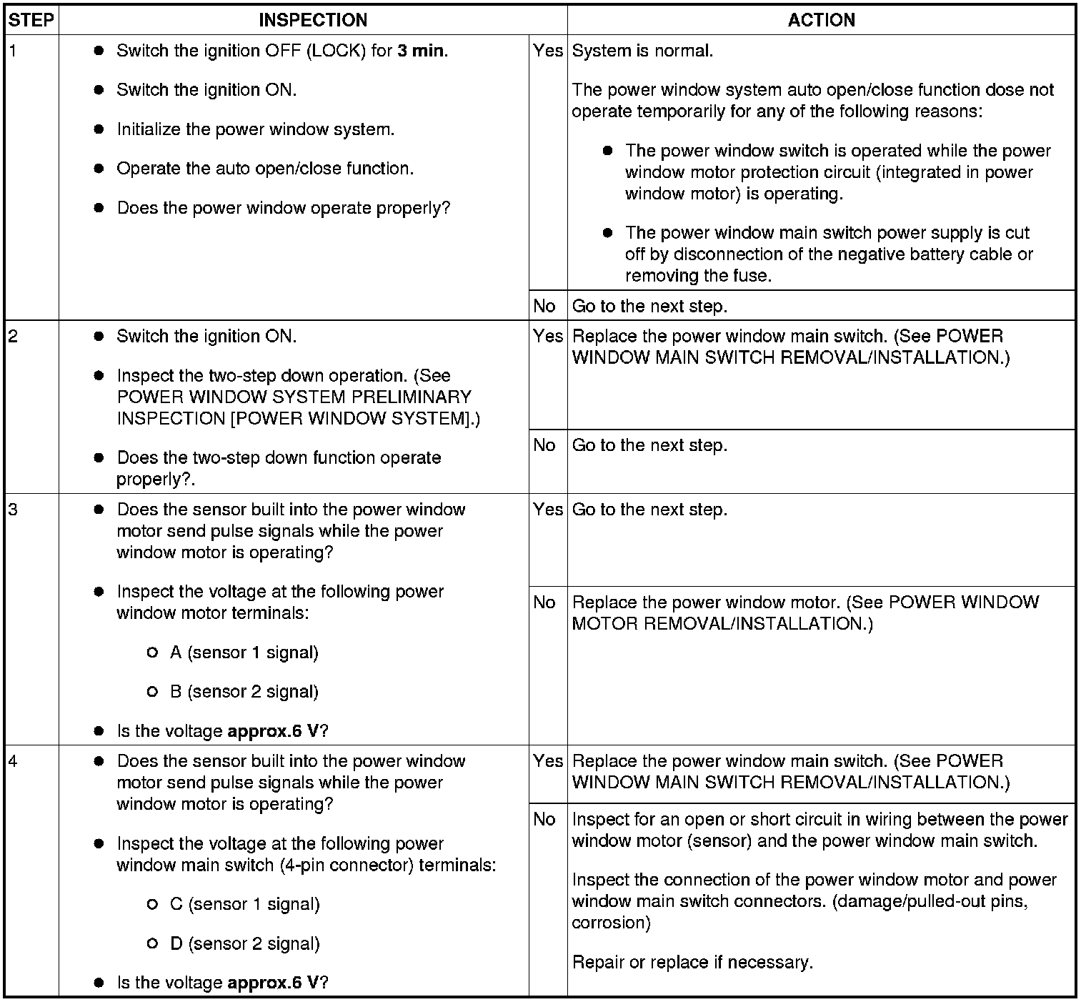
No. 1 The Auto Open/Close Function On The Driver-Side Power Window Is Inoperative
No. 1 The Auto Open/Close Function On The Driver-Side Power Window Is Inoperative
No.1 THE AUTO OPEN/CLOSE FUNCTION ON THE DRIVER-SIDE POWER WINDOW IS INOPERATIVE [POWER WINDOW SYSTEM]
Diagnostic procedure