Curiosii for ever!: Car repair manuals for everyone.

Standard Deployment Control System





FOREWORD [STANDARD DEPLOYMENT CONTROL SYSTEM]

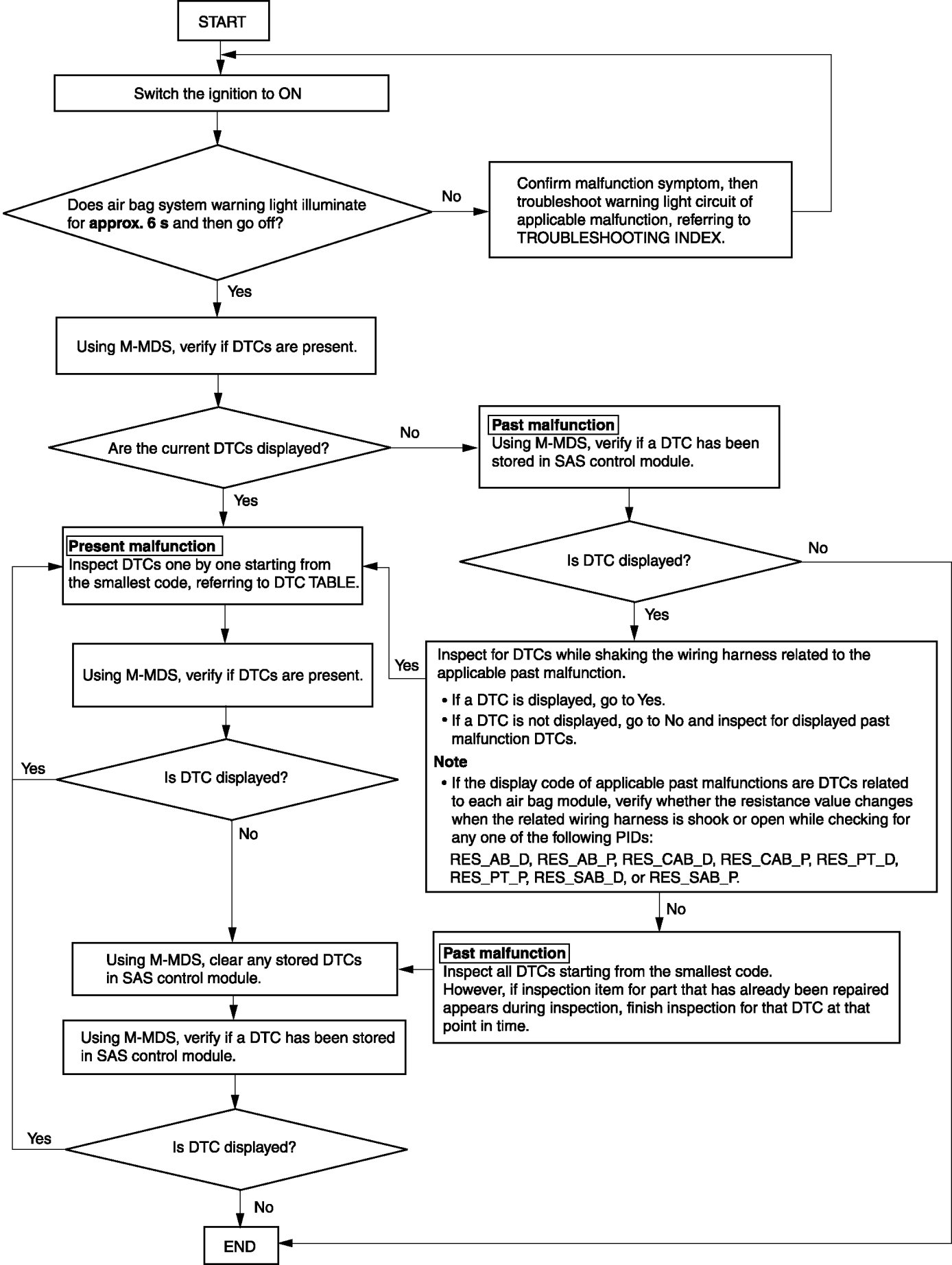
- If an air bag system malfunction is considered the cause, perform the inspection according to the Troubleshooting Procedure.

NOTE:
- Use the M-MDS to verify DTCs because the DTCs displayed by the air bag system warning light are reference information only. Standard Deployment Control System
- During inspection, if the battery is connected with the related parts and connectors disconnected, new DTCs are displayed. To prevent false diagnosis when inspecting DTCs of past malfunction indication, inspect only the malfunctioning area for the DTCs indicated before starting the inspection.
- When DTCs of the present malfunction are no longer output after present or past malfunctions or both have been repaired, be sure to clear the past malfunction from memory to prevent repair of malfunctions that have already been repaired.

Troubleshooting Procedure