Curiosii for ever!
: Car repair manuals for everyone.
Home
>>
Mazda
>>
2012
>>
2 L4-1.5L
>>
Repair and Diagnosis
>>
Body and Frame
>>
Locks
>>
Keyless Entry
>>
Testing and Inspection
>>
Initial Inspection and Diagnostic Overview
>>
On-Board Diagnosis
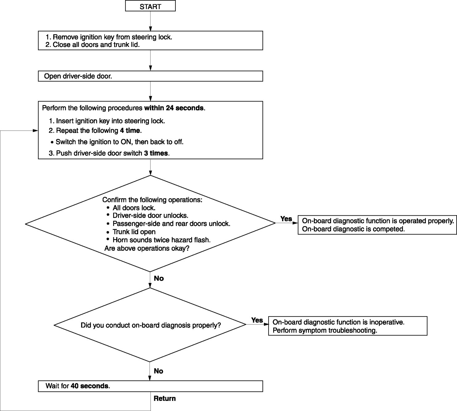
On-Board Diagnosis
ON-BOARD DIAGNOSTIC FUNCTION [KEYLESS ENTRY SYSTEM]