Curiosii for ever!
: Car repair manuals for everyone.
Home
>>
Mazda
>>
2010
>>
6 L4-2.5L
>>
Repair and Diagnosis
>>
A L L Diagnostic Trouble Codes ( DTC )
>>
Testing and Inspection
>>
Diagnostic Trouble Code Descriptions
>>
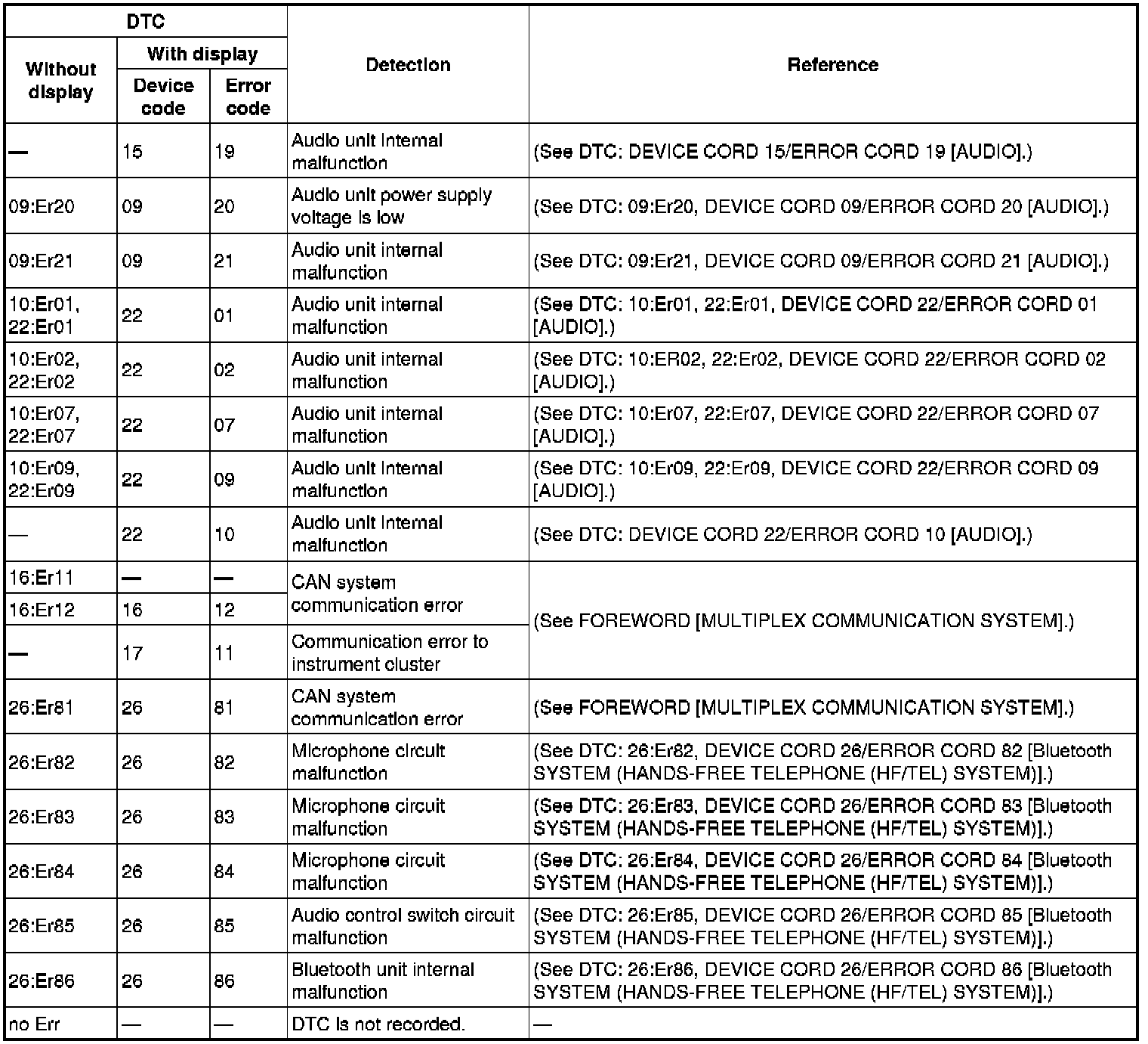
DTC Table - Audio
DTC Table - Audio
DTC TABLE [AUDIO]
09:Er20-26:Er86: