Curiosii for ever!: Car repair manuals for everyone.

Seat Temperature Switch: Testing and Inspection




SEAT WARMER SWITCH INSPECTION

Driver's side

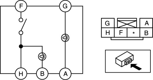
1. Verify that the continuity between the seat warmer switch terminals is as indicated in the table






- If not as indicated in the table, replace the seat warmer switch.






Passenger's side

1. Verify that the continuity between the seat warmer switch terminals is as indicated in the table






- If not as indicated in the table, replace the seat warmer switch.