Curiosii for ever!: Car repair manuals for everyone.

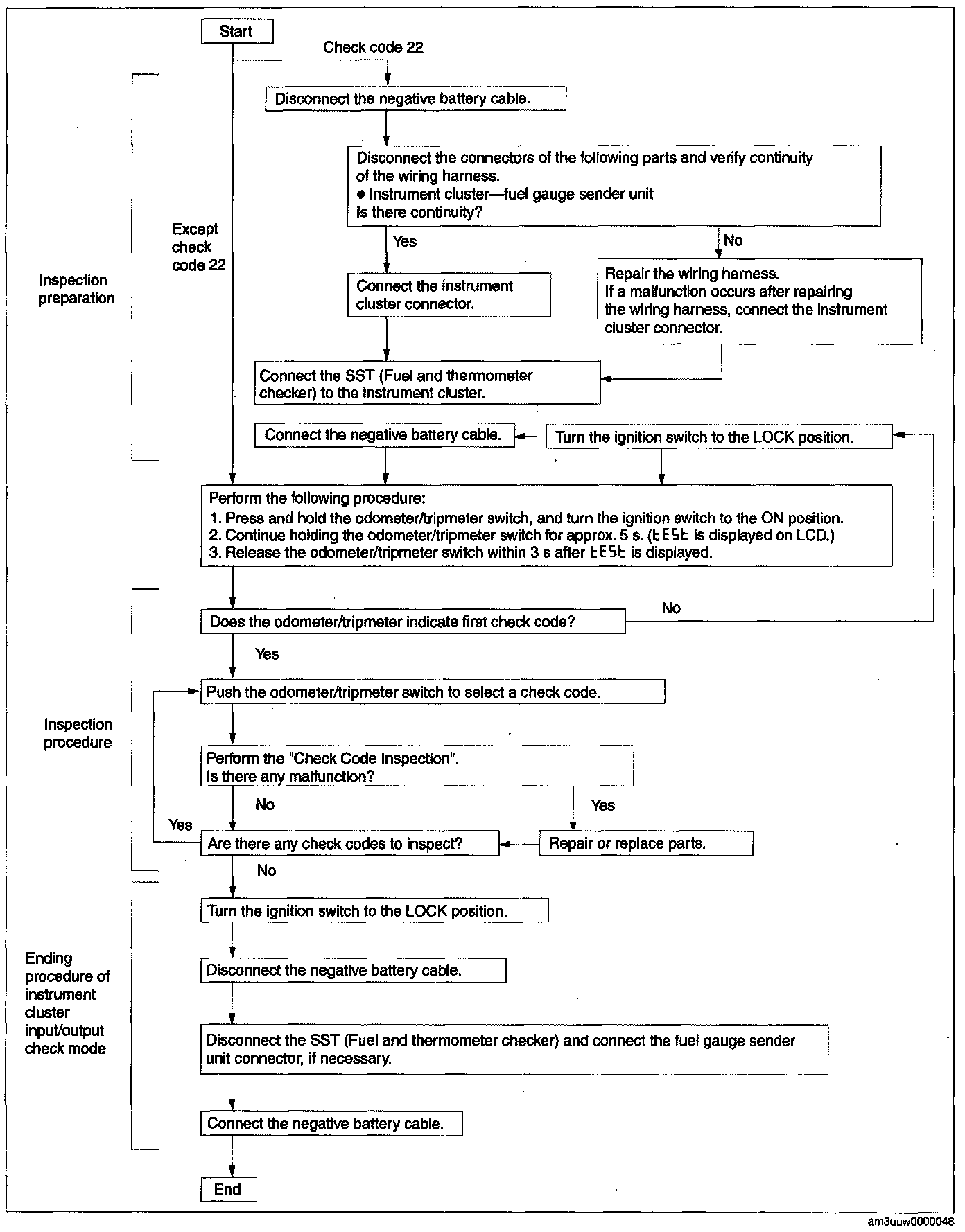
Instrument Cluster Input/Output Check Mode

INSTRUMENT CLUSTER INPUT/OUTPUT CHECK MODE

NOTE: In this mode, it is possible to verify the items in the following chart.

Check Code Table

Check Code Table:








NOTE:
- Check codes which are not listed may be indicated, but they cannot be inspected.
- The check codes are displayed in numerical order. (While performing the inspection, if you want to inspect a check code with a number smaller than the code number you are currently inspecting, terminate the check mode then repeat the inspection from the beginning.)
- If a speed signal is input to the instrument cluster (the wheels are rotated) while a code other than check code 50 or 51 is displayed, the input/output check mode will be cancelled.
- The check codes can be fast-forwarded by pushing and holding the odometer/tripmeter switch for 1 s or more.