Curiosii for ever!
: Car repair manuals for everyone.
Home
>>
Mazda
>>
2004
>>
MX-5 Miata L4-1.8L DOHC
>>
Repair and Diagnosis
>>
Accessories and Optional Equipment
>>
Antitheft and Alarm Systems
>>
Keyless Entry
>>
Keyless Entry Module
>>
Testing and Inspection
>>
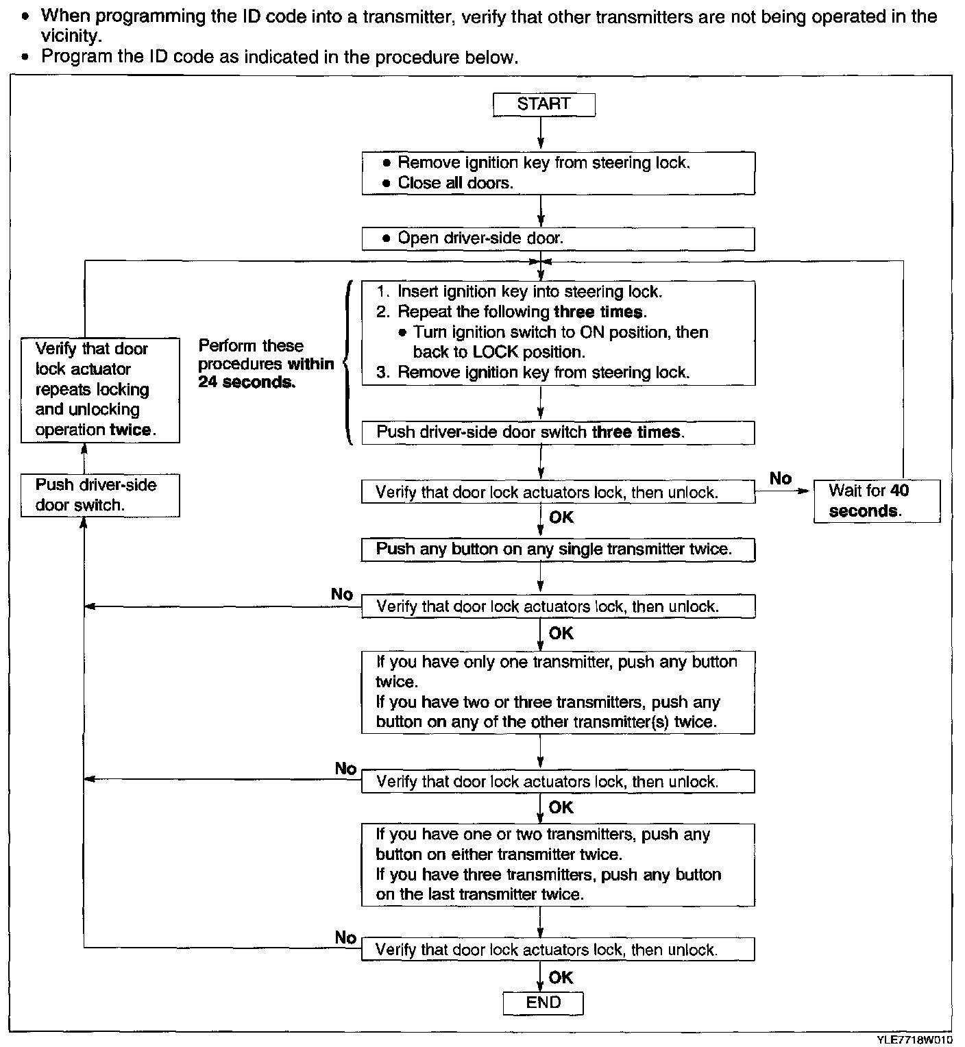
Programming and Relearning
Programming and Relearning
Keyless Control Module Id Code Change: