Curiosii for ever!: Car repair manuals for everyone.

A/C Amplifier

A/C AMPLIFIER INSPECTION

1. Disassemble the climate control component.




2. Connect the A/C amplifier connectors (20-pin, 16-pin, 8-pin), climate control unit connector, and information display connector.
3. Turn the ignition switch to ON position.

4. Measure the voltage at each A/C amplifier terminal and refer to the terminal voltage table.
- If not as specified, inspect the parts listed under "Action".
- If the parts are okay but the system still does not work properly, replace the A/C amplifier.

A/C Amplifier Connector/Climate Control Unit Connector:




Terminal 1A - 1E:




Terminal 1F - 1J:




Terminal 1K - 1P:




Terminal 1Q - 2B:




Terminal 2C - 2J:




Terminal 2K - 2N:




Terminal 2O - 3E:




Terminal 3F - H:




Terminal I - Q:




Terminal R - T:




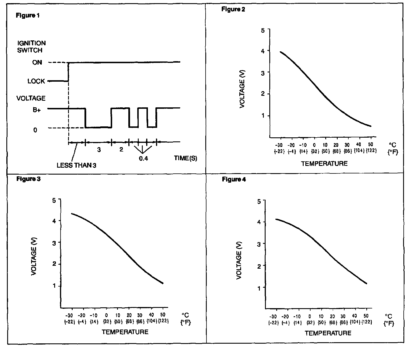
Figure 1/Figure 2/Figure 3/Figure 4:




Figure 5:




Terminal Voltage Table (Reference)