Curiosii for ever!
: Car repair manuals for everyone.
Home
>>
Mazda
>>
2000
>>
MX-5 Miata LS L4-1.8L DOHC
>>
Repair and Diagnosis
>>
Powertrain Management
>>
Computers and Control Systems
>>
Testing and Inspection
>>
Symptom Related Diagnostic Procedures
>>
Symptom Charts
>>
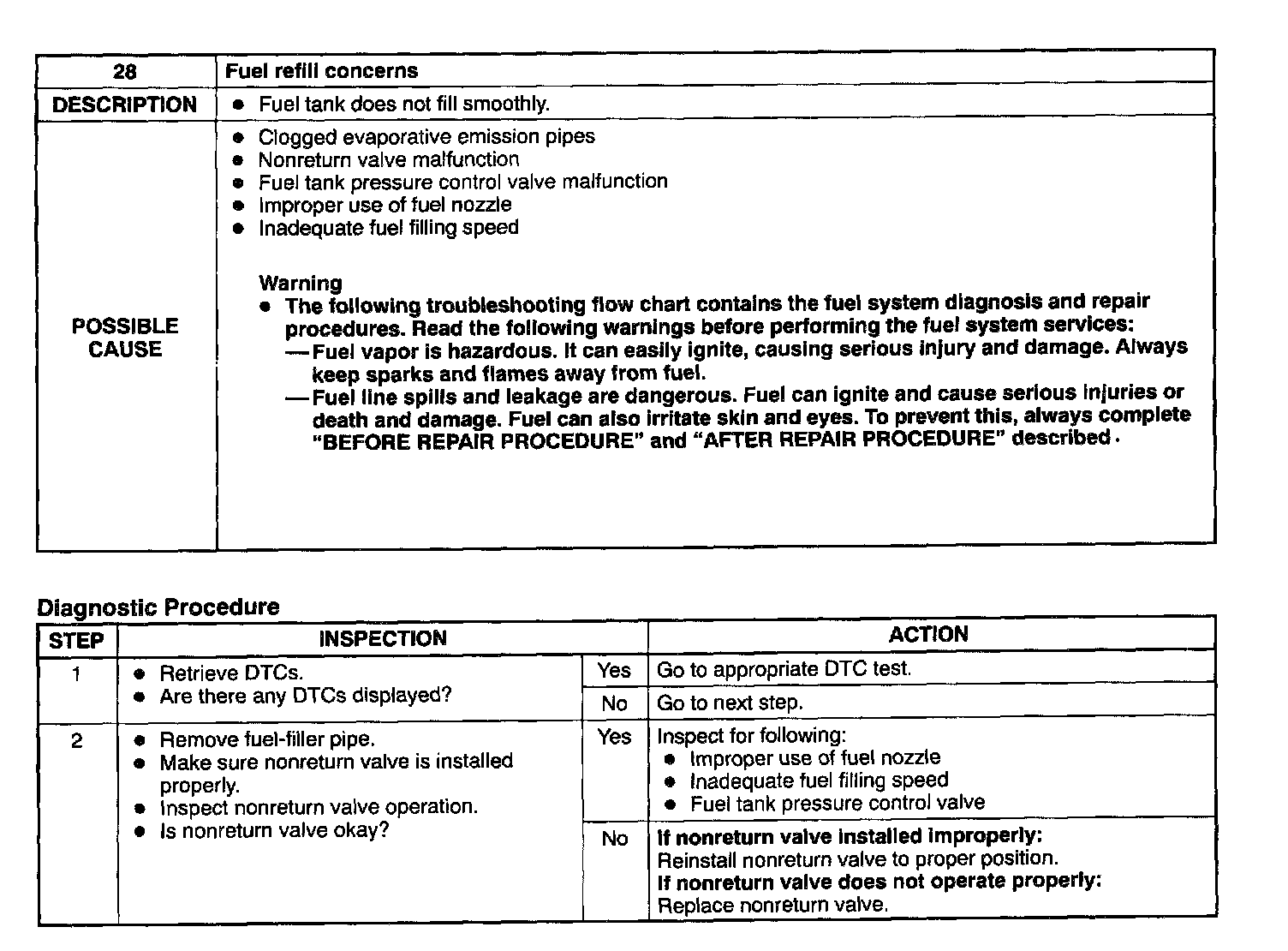
28 Fuel Refill Concerns
28 Fuel Refill Concerns
Steps 1 - 2: