Keyless Entry System On-Board Diagnosis
There are two functions for the keyless entry system on-board diagnosis (OBD). OBD function 1 tells the keyless control module and CPU to activate the power door lock and trunk lid opener systems without the transmitter. OBD function 2 monitors a keyless entry demand signal sent from the transmitter and used inside the keyless control module. OBD function 2 diagnoses the transmitter, integrated antenna and the keyless control module.On-board Diagnostic Function 1
Before performing troubleshooting, conduct the following procedure.
Part 1 Of 3:
Part 2 Of 3:
Part 3 Of 3:
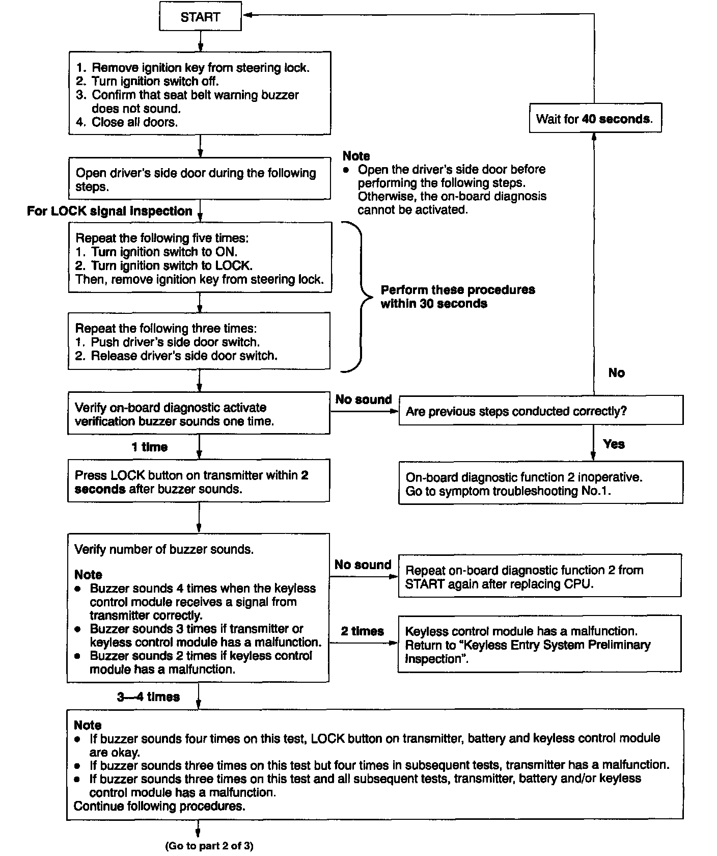
On-board Diagnostic Function 2
Before performing troubleshooting, conduct the following procedure.