Curiosii for ever!: Car repair manuals for everyone.

Fuel Cut Control System




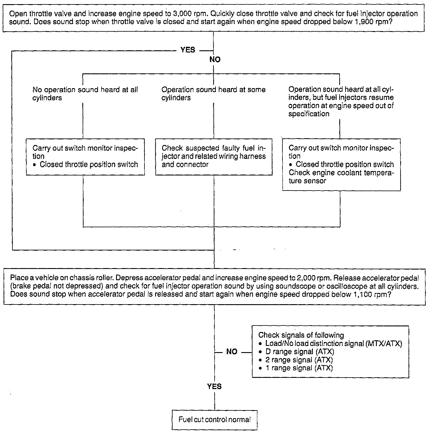
Fuel Cut Control Inspection
1. Warm up the engine to normal operating temperature.
2. Turn off the A/C switch.
3. Connect a tachometer to data link connector terminal IG-.
4. Using a soundscope, listen for the fuel injector operation sound at all cylinders.