Curiosii for ever!
: Car repair manuals for everyone.
Home
>>
Mazda
>>
1993
>>
626 L4-1991cc 2.0L DOHC
>>
Repair and Diagnosis
>>
Powertrain Management
>>
Computers and Control Systems
>>
Engine Control Module
>>
Testing and Inspection
>>
Pinout Values and Diagnostic Parameters
>>
With Manual Transaxle (MTX)
>>
Part 3
>>
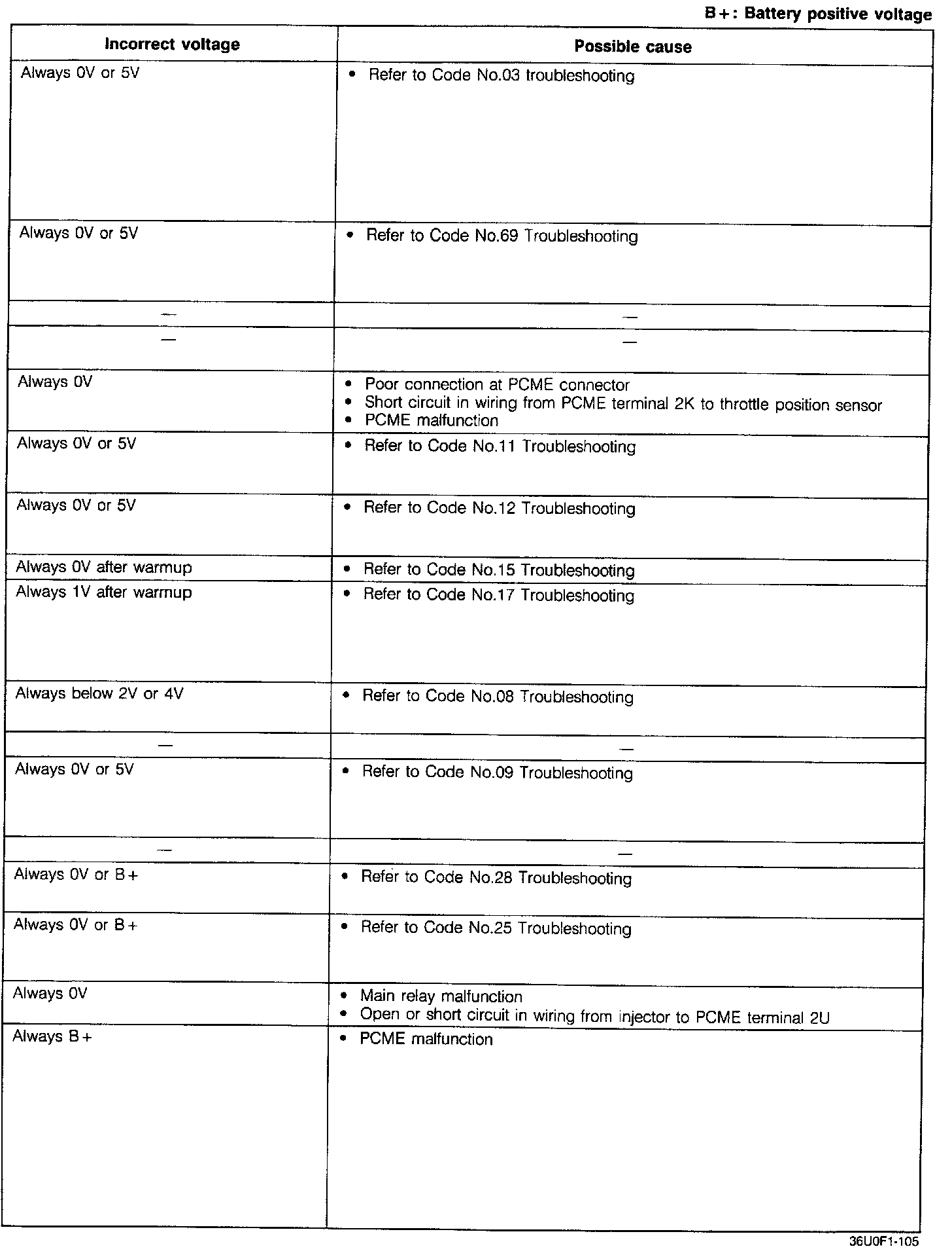
B.
B.