Curiosii for ever!: Car repair manuals for everyone.

Wiper and Washer Systems: Testing and Inspection

Fig. 24 Troubleshooting Chart (Part 1 Of 5):



Fig. 24 Troubleshooting Chart (Part 2 Of 5):



Fig. 24 Troubleshooting Chart (Part 3 Of 5):



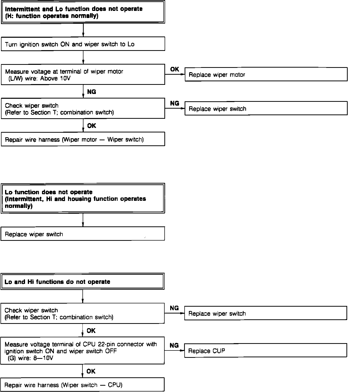
Fig. 24 Troubleshooting Chart (Part 4 Of 5):



Fig. 24 Troubleshooting Chart (Part 5 Of 5):