Curiosii for ever!: Car repair manuals for everyone.

Two-Step Deployment Control System




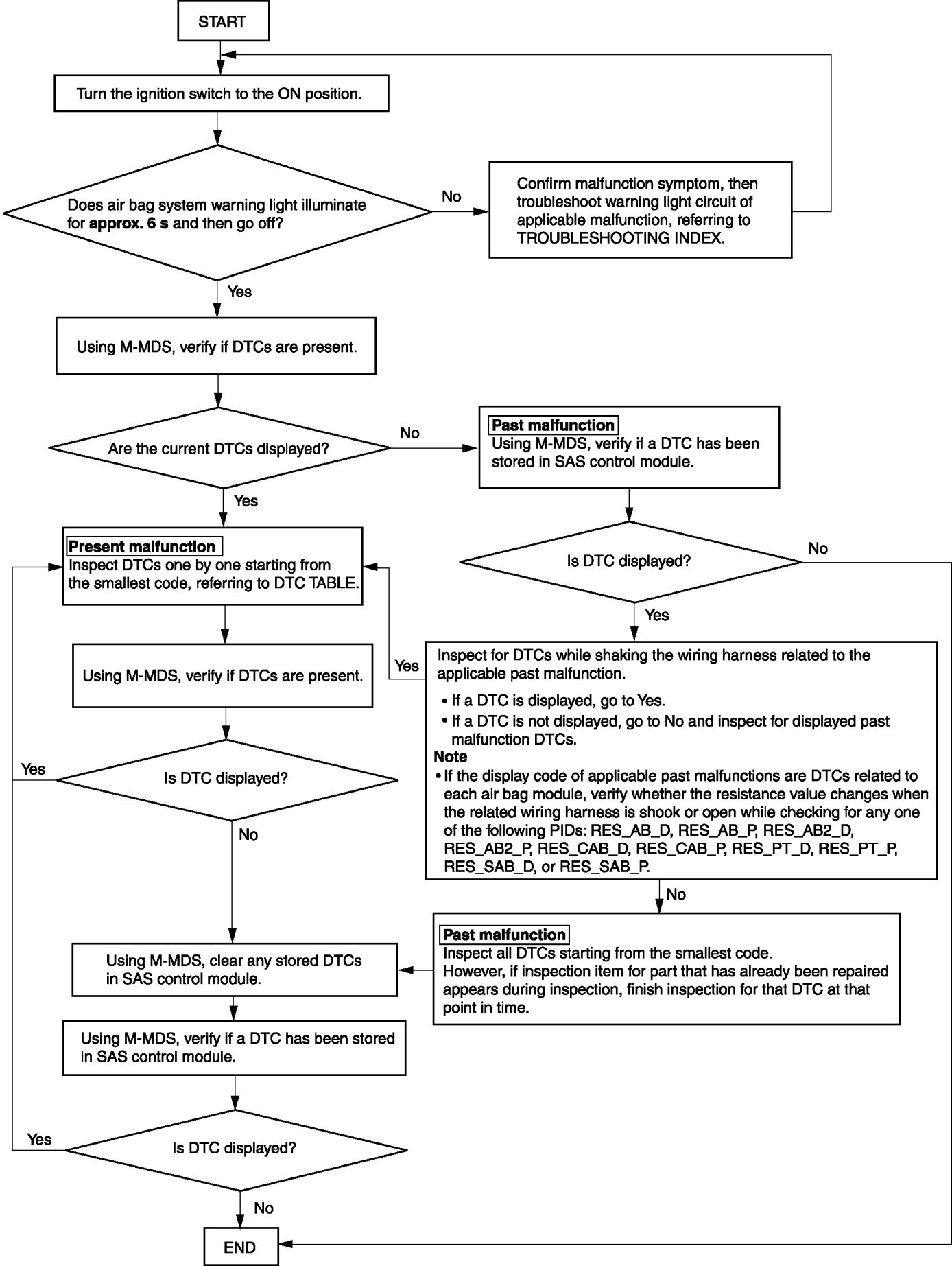
FLOWCHART [TWO-STEP DEPLOYMENT CONTROL SYSTEM]

- Use the following flowchart to verify the cause of the trouble.
NOTE:
- While performing the inspection of the past malfunction code, the applicable DTCs may be added to memory by removing or disconnecting the related parts. Inspect only the DTCs that were indicated before inspecting.

- When DTCs of the present malfunction are no longer output after present or past malfunctions or both have been repaired, be sure to perform past malfunction display cancellation to prevent repair of malfunctions that have already been repaired.