Curiosii for ever!: Car repair manuals for everyone.

Identification Codes




IDENTIFICATION CODES

Vehicle Identification Number (VIN) Tag Locator















The vehicle identification number (VIN) is a 17-digit combination of letters and numbers. The VIN is stamped on a metal tab riveted on the instrument panel, top upper left of the dash. The VIN is also found on the vehicle certification (VC) label. If the VIN plate requires replacement, an authorized dealer must contact their respective regional office.
World Manufacturer Identifier (WMI)




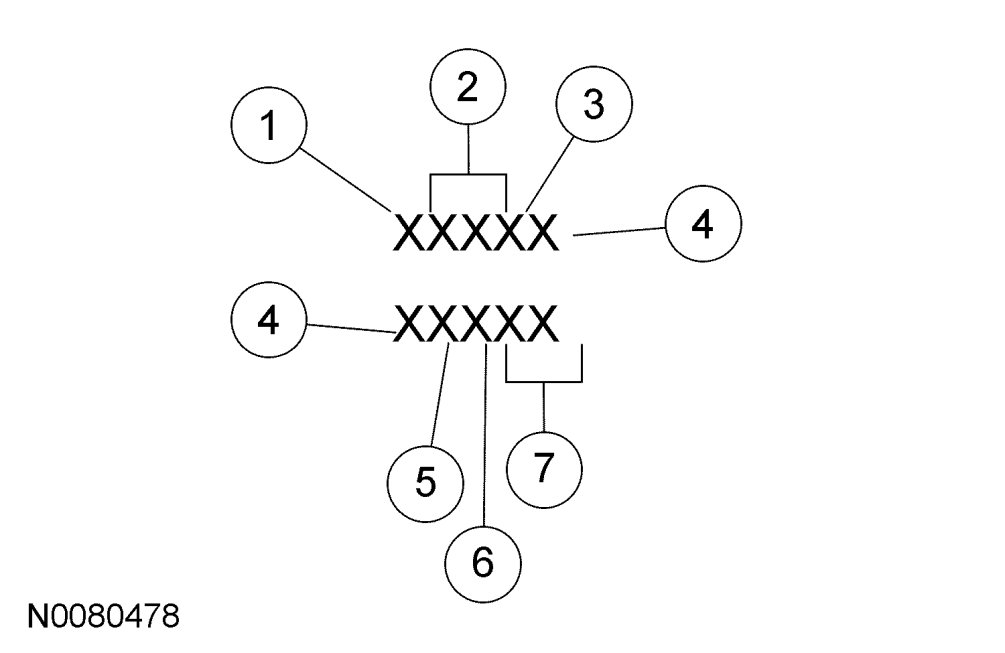
The first 3 VIN positions are the world manufacturer identifier (WMI).

- 4F2 - Mazda Motor Company, USA, multi-purpose vehicle (MPV) (Mazda)
Brake Type and Gross Vehicle Weight Rating (GVWR)




The fourth VIN position is the vehicle brake type and GVWR code, all vehicles use hydraulic brakes and driver and front passenger air bags.

- C - 4,001-5,000 pounds GVWR with side impact air curtains
Line, Series and Body Type




VIN positions 5 through 7 indicate the vehicle line, series and body type.

- Z02 - 2-wheel drive, DX
- Z92 - 4-wheel drive, DX
- Z04 - 2-wheel drive, LX
- Z94 - 4-wheel drive, LX
- Z06 - 2-wheel drive, ES
- Z96 - 4-wheel drive, ES
Engine Type




The eighth VIN position is the engine type (displacement and number of cylinders).

- B - 2.5L, 4-valve, in-line 4 cylinder
- 1 - 3.0L Modular, 6-cylinder, EFI, DOHC
Check Digit




The ninth VIN position is a government-assigned, computer-generated check digit.
Model Year




The tenth VIN position is the model year code.

- 9 - 2009
Assembly Plant




The eleventh VIN position is the assembly plant code.

- K - Kansas City (Claycomo, Missouri)
Build Sequence




VIN positions 12 through 17 are an alphanumeric code for the vehicle build sequence. This is also the vehicle serial and warranty number.

- Tribute - M00001-M99999
Vehicle Certification (VC) Label Locator




The upper portion of the Vehicle Certification (VC) label contains the manufacturer's name, the month and year of manufacture, the certification statement and the VIN. It also includes Gross Vehicle Weight Rating (GVWR). The VC label is located on the left-hand door jamb. The serial number can also be found on the engine block, transmission and frame.If a vehicle requires replacement of the VC label and is 4 years old or less, an authorized dealer must submit the VIN to their respective regional office. The regional office will submit a web form to the assembly plant for the replacement label. Once the label has been printed, a representative from the regional office will deliver the label to the dealer and witness installation on the vehicle. If a vehicle is more than 4 years old and requires a replacement label, the dealer must submit a request to the Department of Motor Vehicles.










Exterior Paint




Exterior paint codes may be listed as a 2-part code. The first set of characters identify the primary body color. The second set of characters (if applicable) identify the vehicle accent or 2-tone body color. All colors are base coat/clear coat.

Exterior Color Codes
- JV - Sangria Red
- NZ - Kiwi Green
- T9 - Monterrey/Black Pearl Slate
- U1 - Sport Blue Metallic
- UA - Ebony
- UJ - Sterling Gray Metallic
- UN - Steel Blue
- UP - Gold Leaf
- UQ - Wine Red
- UX - Ingot Silver Metallic
- WS - White Suede
- YZ - Oxford White
Wheelbase




103 - 2,616 mm (103 in) wheelbase
Interior Trim




Interior trim codes are listed as a 2-part code. The first character identifies the interior trim type. The second character identifies the interior trim color.

Interior Trim Type
- 1 - Base cloth seats
- 2 - High series cloth seats
- 4 - High series cloth seats
- 5 - Imola leather seats
- 7 - Alcantara leather seats
- 8 - SOHO leather seats
- Y - Voga leather seats

Interior Trim Color
- 9 - Charcoal Black
- C - Camel Tan
- S - Stone Gray
Tape/Paint Stripe




Tape and paint stripe codes do not apply.
Radio Type






- 8 - CDX6 AM/FM stereo with 6-disc CD changer
- M - AM/FM stereo with CD changer and clock
- N - AM/FM stereo with CD changer and navigation system
- Y - Premium AM/FM stereo with CD changer and clock
- Z - Electronic AM/FM stereo with CD player and clock
Axle Type






- 30 - 3.04 axle ratio
- 35 - 3.51 axle ratio
- 41 - 4.13 axle ratio Additional axle information can be obtained from the axle tag. See Description and Operation.
Transmission Type






- H - Continuously variable transaxle (CVT) automatic, power split electronic (Hybrid)
- 3 - 5-speed manual
- 6 - 6-speed automatic Additional transmission information can be obtained from the transmission tag. See Application and ID or - Transaxle Description.
Spring Code




Spring codes are listed as a 2-part code. The first 2 characters identify the RH and LH front springs. The third and fourth characters identify the RH and LH rear springs.

Front Springs
- JJ - 9L84-5310-J (coil)
- KK - 9L84-5310-K (coil)
- LL - 9L84-5310-L (coil)
- MM - 9L84-5310-M (coil)
- VV - 9M64-5310-B (coil)
- 44 - 9L84-5310-H (coil)

Rear Springs
- DD - 9L84-5726-D (leaf)
- EE - 9L84-5726-E (leaf)
- FF - 9L84-5726-F (leaf)
- GG - 9M64-5726-D (leaf)
- HH - 9M64-5726-C (leaf)
Powertrain Calibration Information






NOTE:Powertrain calibration information is limited to a maximum of 5 characters per line on the vehicle certification (VC) label. Because of this, calibration identification consisting of more than 5 characters will wrap to the second line on the VC label.
Powertrain calibration information is printed in the lower right corner of the VC label. Only base calibration information is printed. Revision levels will not appear, however, they can be obtained through a scan tool using the most current software revision.
Powertrain Calibration Information










Model Year
- 1 - 2001
- 2 - 2002
- 3 - 2003
- 4 - 2004
- 5 - 2005
- 6 - 2006
- 7 - 2007
- 8 - 2008
- 9 - 2009
- A - 2010

Vehicle Line
- M7 - Tribute

Transmission
- 1 - Automatic transmission
- 2 - Manual transmission

Unique Calibration

The Emissions/Corporate Average Fuel Economy/Carbon Dioxide Compliance Department is responsible for assigning these calibration numbers. Unique calibration identifications are assigned to cover similar vehicles to differentiate tires, drive configurations, final drive ratios and other calibration-significant factors.These 2 characters are chosen by the analyst to provide identifiable information unique to each calibration. For example, using the number 2 to denote a 2-valve engine versus using the number 4 to denote a 4-valve engine, offers an easily identifiable difference.

Fleet Code
- 0 - Certification (U.S. 4K, final sale in export markets)
- 1 - Heavy duty gas engine/Dyno
- 2 - Fast-Automobile Manufacturers' Association, U.S.
- 3 - Alternative durability protocol, U.S.
- 4 - Not assigned
- 5 - Not assigned
- 6 - EVAP
- 7 - Mileage accumulation, aging endurance durability
- 8 - On-Board Diagnostic (OBD)
- 9 - Not assigned

Certification Region
- 5 - U.S. 50 states
- A - U.S. federal, including altitude, may include Canada and/or Mexico
- B - U.S. California, includes U.S. green states
- C - Canada
- D - China
- E - European Community (Austria, Belgium, Denmark, Finland, France, Germany, Greece, Ireland, Italy, Luxembourg, Netherlands, Portugal, Spain, Sweden, United Kingdom)
- F - Extended European Community (E plus Croatia, Czech Republic, Estonia, Hungary, Norway, Poland, Romania, Russian Federation, Slovakia, Slovenia, Switzerland, Yugoslavia)
- G - Gulf Cooperative Council (Bahrain, Kuwait, Oman, Qatar, Saudi Arabia, United Arab Emirates)
- H - Hong Kong
- J - Japan
- K - Korea
- L - Malaysia
- M - Mexico
- N - New Zealand
- P - Australia
- Q - South America (Brazil)
- S - Singapore
- T - Taiwan
- U - South America (unleaded fuel)
- V - Vietnam
- X - Rest Of World (ROW)
- Y - Military
- Z - Israel

Revision Level (not printed on label)
- 91-99 - Hardware calibration levels
- 01-04 - Preliminary levels
- 00 - Job 1 production (initial calibration)
- 05-09 - Pre-job 1 revisions to calibrations
- 10-89 - Post-job 1 revisions to calibrations
- 0B - Durability test level
- BD - OBD intermediate level (pre-05)