Curiosii for ever!: Car repair manuals for everyone.

Engine Temperature Sensor: Testing and Inspection




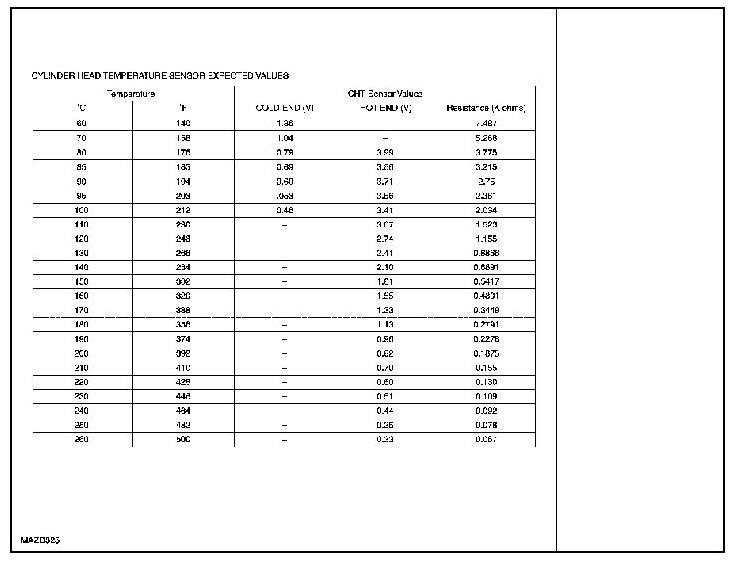
INTAKE AIR TEMPERATURE (IAT) SENSOR AND CYLINDER HEAD TEMPERATURE (CHT) SENSOR





Detection Condition:





Possible Causes (Part 1):





Possible Causes (Part 2):





Possible Causes (Part 3):





Possible Causes (Part 4):






Step 1-Step 2:





Step 3-Step 5:





Step 6-Step 9:





Step 10-Step 13:





Step 14-Step 17:





Step 18: