Curiosii for ever!: Car repair manuals for everyone.

Emission Control Systems: Description and Operation



-
ENGINE EMISSION CONTROL - 2.5L AND 3.0L

NOTE:Do not permanently remove or render inoperative any part of the engine emission control system including related hardware. Failure to comply may violate applicable state and federal law.
The engine emission control system consists of:

- Exhaust gas circulation (EGR) system
- Positive crankcase ventilation (PCV) system

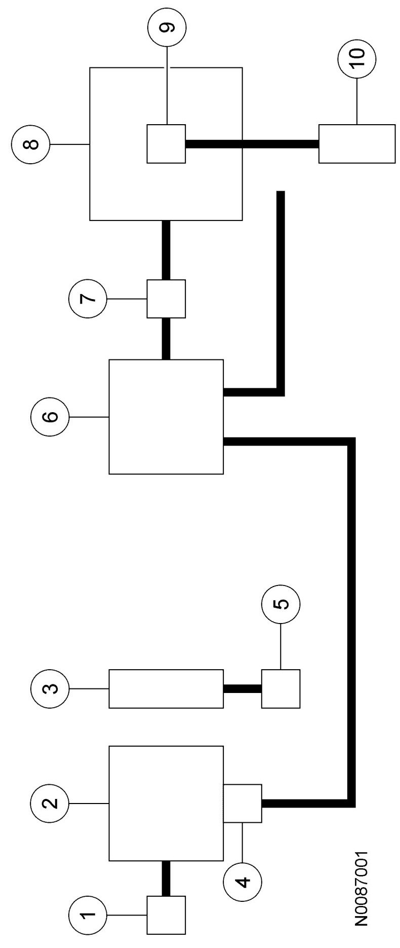
Exhaust Gas Recirculation (EGR) System - 2.5L

The EGR system returns a small amount of exhaust gas into the intake manifold. This reduces the overall combustion temperature. Cooler combustion temperatures provide a significant reduction of the oxides of nitrogen (NOx) in the exhaust emissions.The engine incorporates a stepper motor-controlled EGR valve which receives its signal from the PCM. Engine coolant is used to cool the EGR valve. The EGR valve and stepper motor are serviced as an assembly.
The amount of recirculated exhaust gas depends upon:

- Engine rpm
- Intake manifold vacuum
- Exhaust back pressure
- Engine coolant temperature
- Throttle position

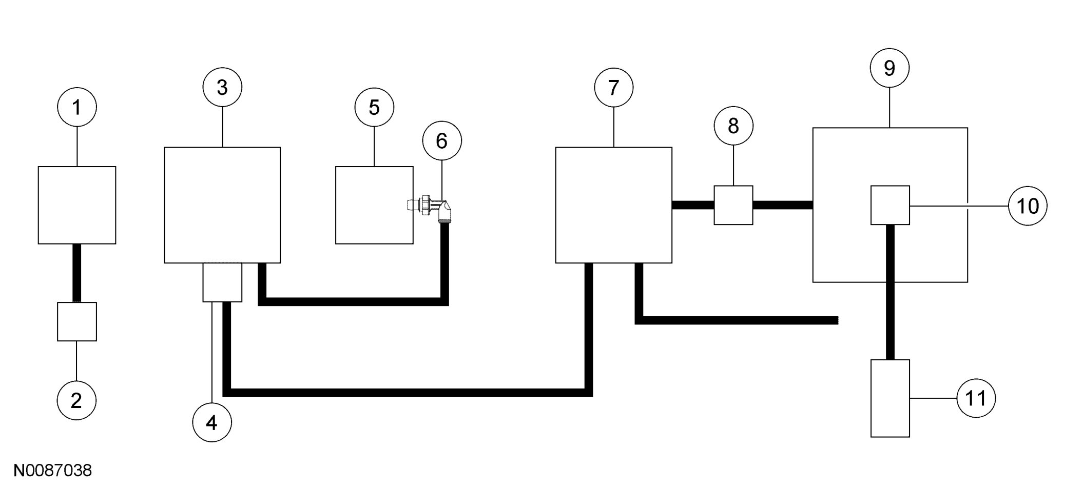
Exhaust Gas Recirculation (EGR) System - 3.0L

The EGR system:

- is electronically controlled by the PCM.
- returns a small amount of exhaust gas into the engine for recombustion.
- reduces the overall combustion temperature and provides a significant reduction of oxides of nitrogen (NOx).The EGR valve:

- is connected to the exhaust manifold by the EGR valve to the exhaust manifold tube.
- controls recirculated exhaust gas flow to the intake manifold.
- monitors the flow of recirculated exhaust gases through the EGR valve to the exhaust manifold tube.
- returns a signal to the powertrain control module.
The amount of recirculated exhaust gas depends upon:

- Engine rpm
- Intake manifold vacuum
- Exhaust back pressure
- Engine coolant temperature
- Throttle position

Positive Crankcase Ventilation (PCV) System

The PCV system uses the intake manifold vacuum to ventilate blow-by fumes from the crankcase and returns the fumes to the intake manifold for combustion. The PCV varies the amount of blow-by gases returned to the intake manifold based on available engine vacuum. The PCV also prevents the entry of combustion gasses backfiring into the crankcase.

Evaporative Emissions (EVAP) System

The evaporative emissions (EVAP) system consists of the:

- EVAP canister purge valve
- EVAP canister
- EVAP canister vent solenoid
- Fuel vapor tube assembly (includes the fuel tank pressure (FTP) sensor)
- Dust separator
- Fuel filler cap

The evaporative emissions (EVAP) system:

- utilizes an onboard refueling vapor recovery (ORVR) system that captures the fuel vapors from the vehicle's fuel tank during refueling.
- prevents hydrocarbon emissions from reaching the atmosphere.
- stores fuel vapors in the EVAP canister that are generated during vehicle operation or hot soak until they can be consumed by the engine during normal engine operation.
- routes the stored fuel vapors to the engine during engine operation.
- is controlled by the PCM which, using various sensor inputs, calculates the desired amount of purge flow. The PCM regulates the purge flow, induced by the application of the intake manifold vacuum, by varying the duty cycle applied to the EVAP canister purge.The fuel vapors are routed:

- from the fuel tank through the fuel vapor vent valve.
- to the EVAP canisters through a vapor tube assembly.
- to the engine when the EVAP canister purge valve is opened by the PCM.The fuel tank pressure (FTP) sensor:

- is part of the fuel vapor tube assembly.
- monitors the pressure levels in the fuel tank.
- communicates the pressure reading to the PCM during the OBD II leak test.The fuel vapor tube assembly:

- is mounted on the top LH side of the fuel tank.
- is used to control the flow of fuel vapors entering the EVAP system.The evaporative emissions (EVAP) canister:

- is located under the vehicle midway under the LH side of the vehicle.
- contains activated carbon.
- stores fuel vapors.The fuel tank filler cap:

- relieves the system vacuum below -3.5 kPa (-16.00 inches H2O).The EVAP canister vent solenoid:

- is normally open
- seals the EVAP system for the inspection and maintenance (I/M 240) test and OBD II leak and pressure tests.
- is mounted to the left center of the EVAP canister bracket.
- is repaired as a separate item.The EVAP canister purge valve:

- is normally closed.
- regulates the purging of the EVAP canister.
- is controlled by the PCM.
- is repaired as a separate item.
- is mounted on the cowl.The EVAP dust separator:

- is attached to the EVAP canister bracket.
- prevents suspended dust and dirt particles from entering the evaporative emissions system.
- is repaired as a separate item.The EVAP system monitor:

- is a self-test strategy within the PCM which tests the integrity of the EVAP system.
- monitors the EVAP system for leaks.
- monitors electronic EVAP components for irrationally high or low voltages.
- monitors for correct EVAP system operation.
- uses negative and positive leak test methods to test and activate the EVAP system.The EVAP running loss system leak test:

- utilizes intake manifold vacuum to test the system and involves several stages.