Curiosii for ever!
: Car repair manuals for everyone.
Home
>>
Mazda Truck
>>
2009
>>
B2300 L4-2.3L
>>
Repair and Diagnosis
>>
Powertrain Management
>>
Computers and Control Systems
>>
Crankshaft Position Sensor
>>
Testing and Inspection
Crankshaft Position Sensor: Testing and Inspection
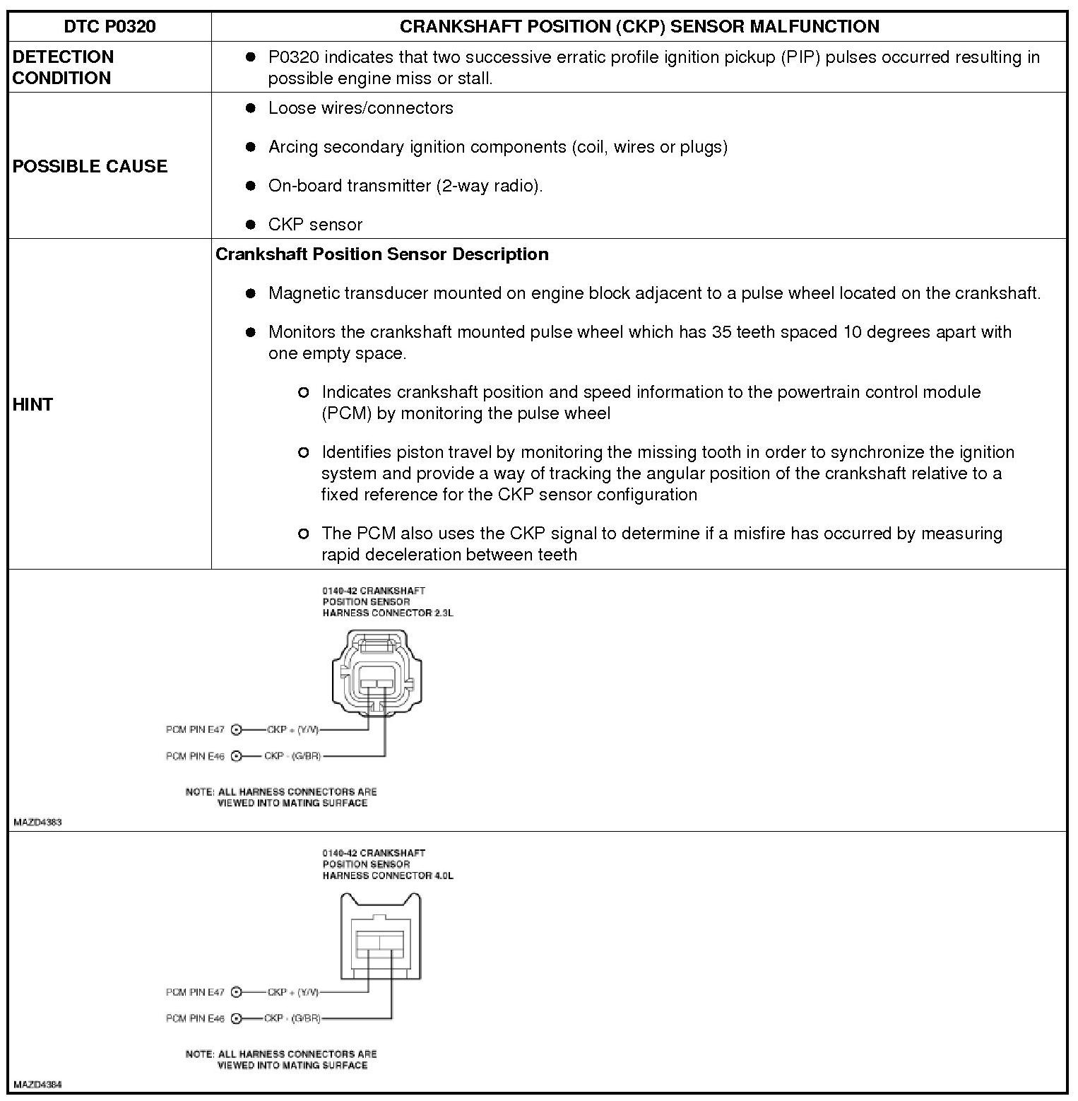
CRANKSHAFT POSITION (CKP) SENSOR MALFUNCTION
Detection Condition/Possible Cause:
Typical Diagnostic Reference Values
Step 1-Step 4:
Step 5-Step 10:
Step 11-Step 15:
Step 16-Step 21:
Step 22-Step 25: