Curiosii for ever!
: Car repair manuals for everyone.
Home
>>
Mazda Truck
>>
2006
>>
B2300 L4-2.3L VIN D
>>
Repair and Diagnosis
>>
Powertrain Management
>>
Computers and Control Systems
>>
Testing and Inspection
>>
Pinpoint Tests
>>
General Pinpoint Test 4
General Pinpoint Test 4
Step 1:
Step 2-Step 5:
Step 6:
Step 7-Step 10:
Step 11-Step 12:
Step 13-Step 14:
Step 15:
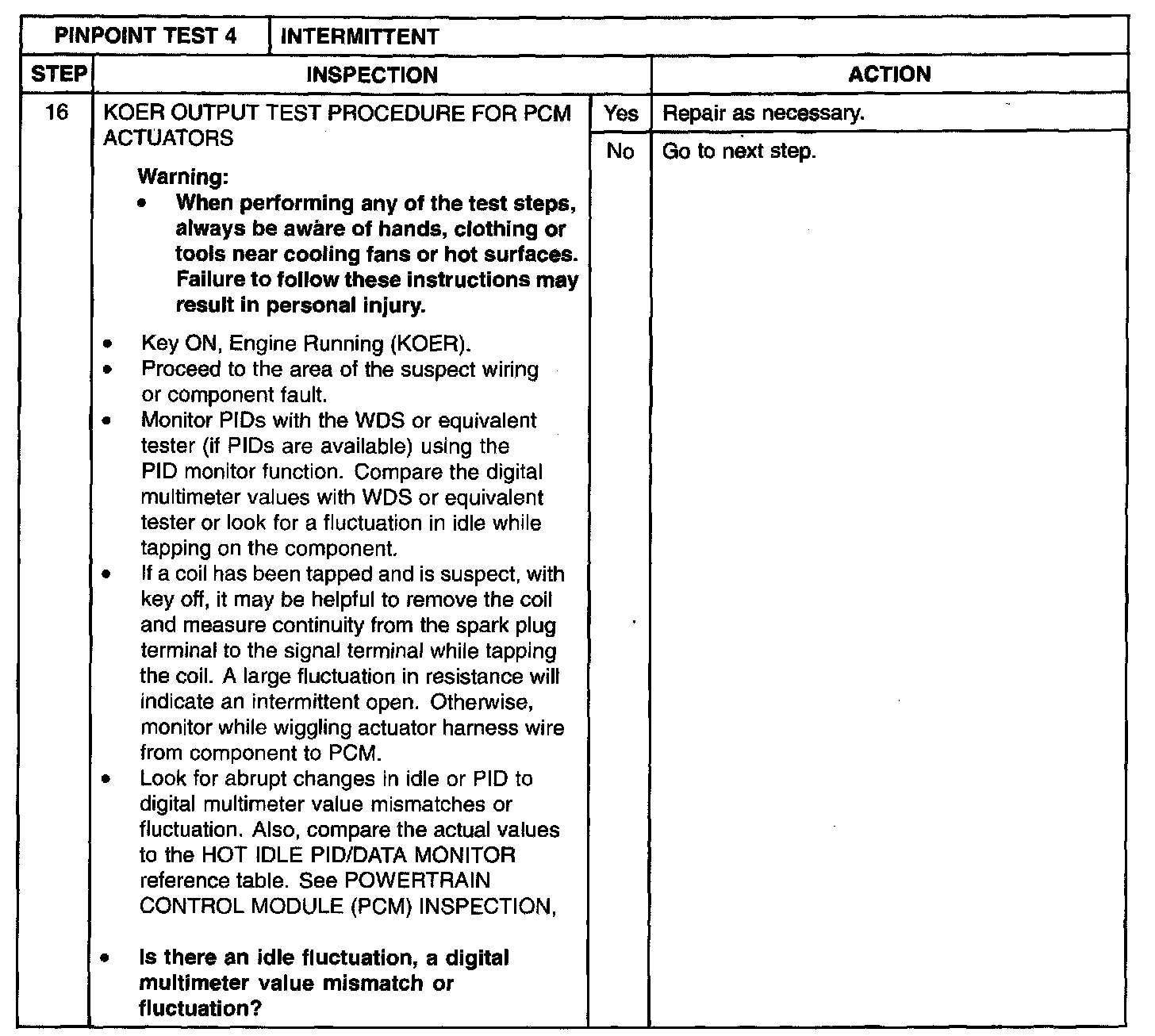
Step 16:
Step 17-Step 18:
Step 19: