Curiosii for ever!: Car repair manuals for everyone.

Pinout Values and Diagnostic Parameters

3.0L (M/T) Terminal Voltage (Reference)

NOTE: All values shown may vary 20% depending on operating conditions and other factors. RPM values are axle and tire dependent.







Sensor/Inputs







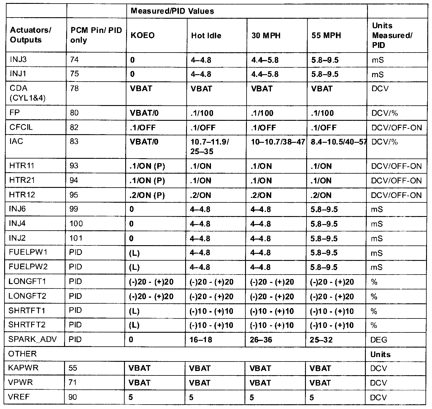
Actuators/Outputs







GENERIC OBD II PID VALUES

3.0L (A/T) Terminal Voltage (Reference)

NOTE: All values shown may vary 20% depending on operating conditions and other factors. RPM values are axle and tire dependent.







Sensor/Inputs







Actuators/Outputs




GENERIC OBD II PID VALUES