Curiosii for ever!
: Car repair manuals for everyone.
Home
>>
Mazda Truck
>>
2002
>>
MPV V6-3.0L DOHC
>>
Repair and Diagnosis
>>
Relays and Modules
>>
Relays and Modules - Body and Frame
>>
Keyless Entry Module
>>
Testing and Inspection
>>
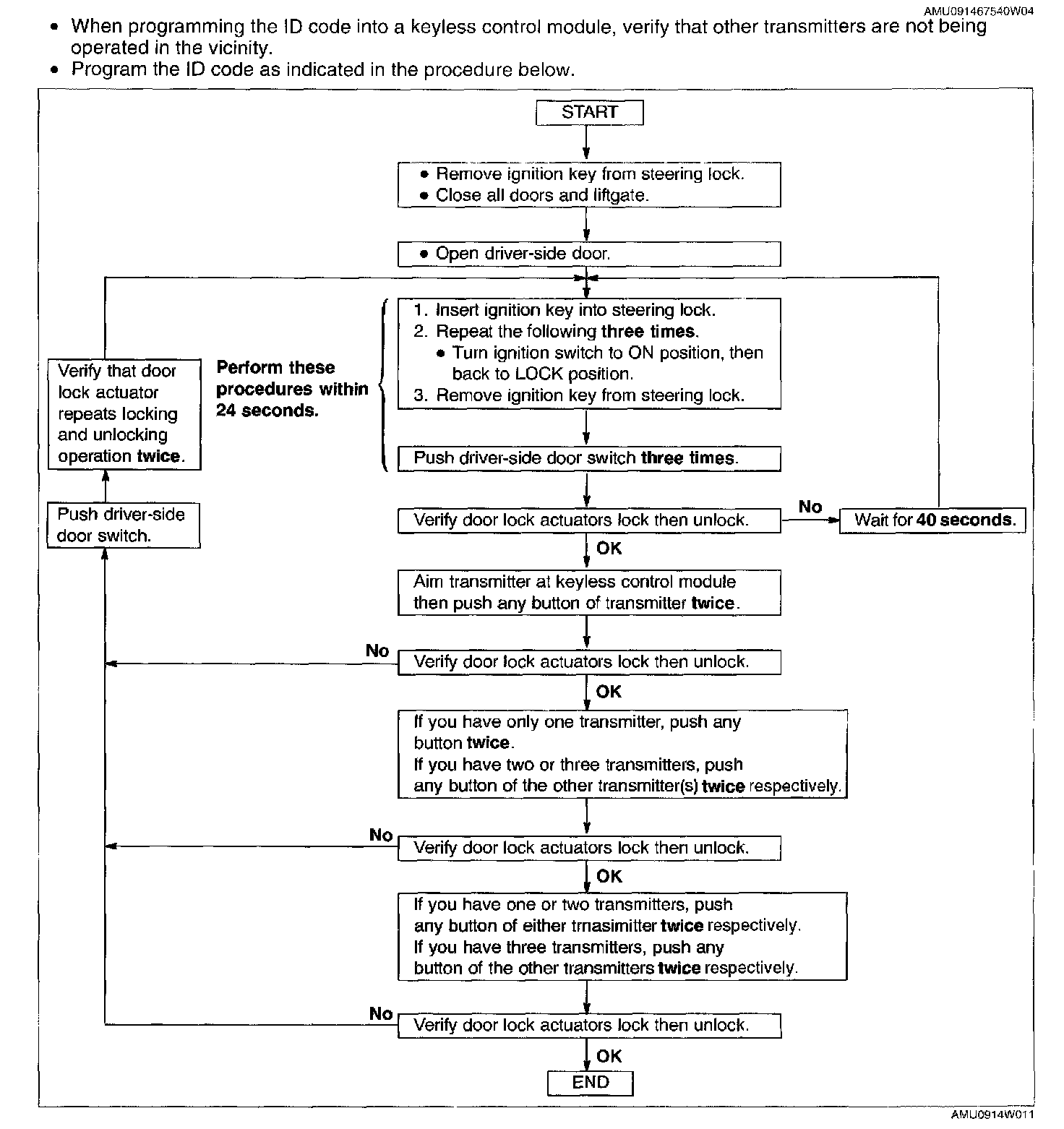
Programming and Relearning
Programming and Relearning
Keyless Control Module ID Code Change: