Curiosii for ever!
: Car repair manuals for everyone.
Home
>>
Mazda Truck
>>
2000
>>
MPV ES V6-2.5L DOHC
>>
Repair and Diagnosis
>>
Body and Frame
>>
Locks
>>
Keyless Entry
>>
Keyless Entry Module
>>
Testing and Inspection
>>
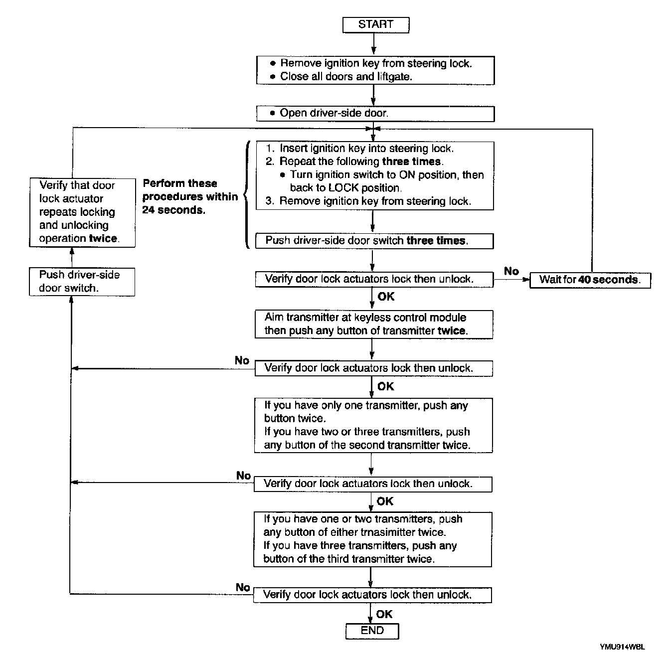
Programming and Relearning
Programming and Relearning
-
When programming the ID code into the keyless control module, verify that other transmitters are not being operated in the vicinity.
-
Program the ID code as indicated in the procedure.