Curiosii for ever!
: Car repair manuals for everyone.
Home
>>
Lincoln
>>
2009
>>
MKZ AWD V6-3.5L
>>
Repair and Diagnosis
>>
Powertrain Management
>>
Computers and Control Systems
>>
Testing and Inspection
>>
Pinpoint Tests
>>
QD - DTC P1260: Passive Anti-Theft System
QD - DTC P1260: Passive Anti-Theft System
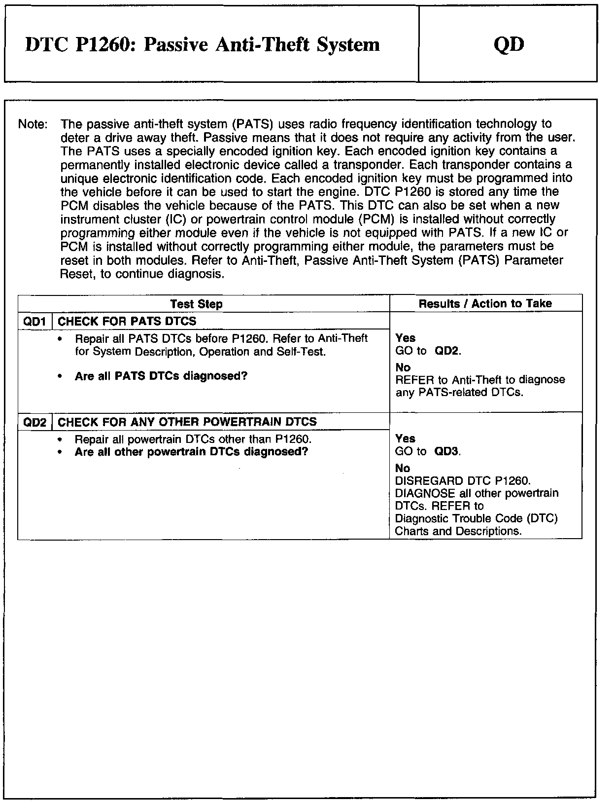
PINPOINT TEST QD: DTC P1260: PASSIVE ANTI-THEFT SYSTEM
QD1-QD2:
QD3: