Curiosii for ever!
: Car repair manuals for everyone.
Home
>>
Lincoln
>>
2009
>>
MKS AWD V6-3.7L
>>
Repair and Diagnosis
>>
Powertrain Management
>>
Computers and Control Systems
>>
Testing and Inspection
>>
Pinpoint Tests
>>
Z - Intermittent
Z - Intermittent
PINPOINT TEST Z: INTERMITTENT
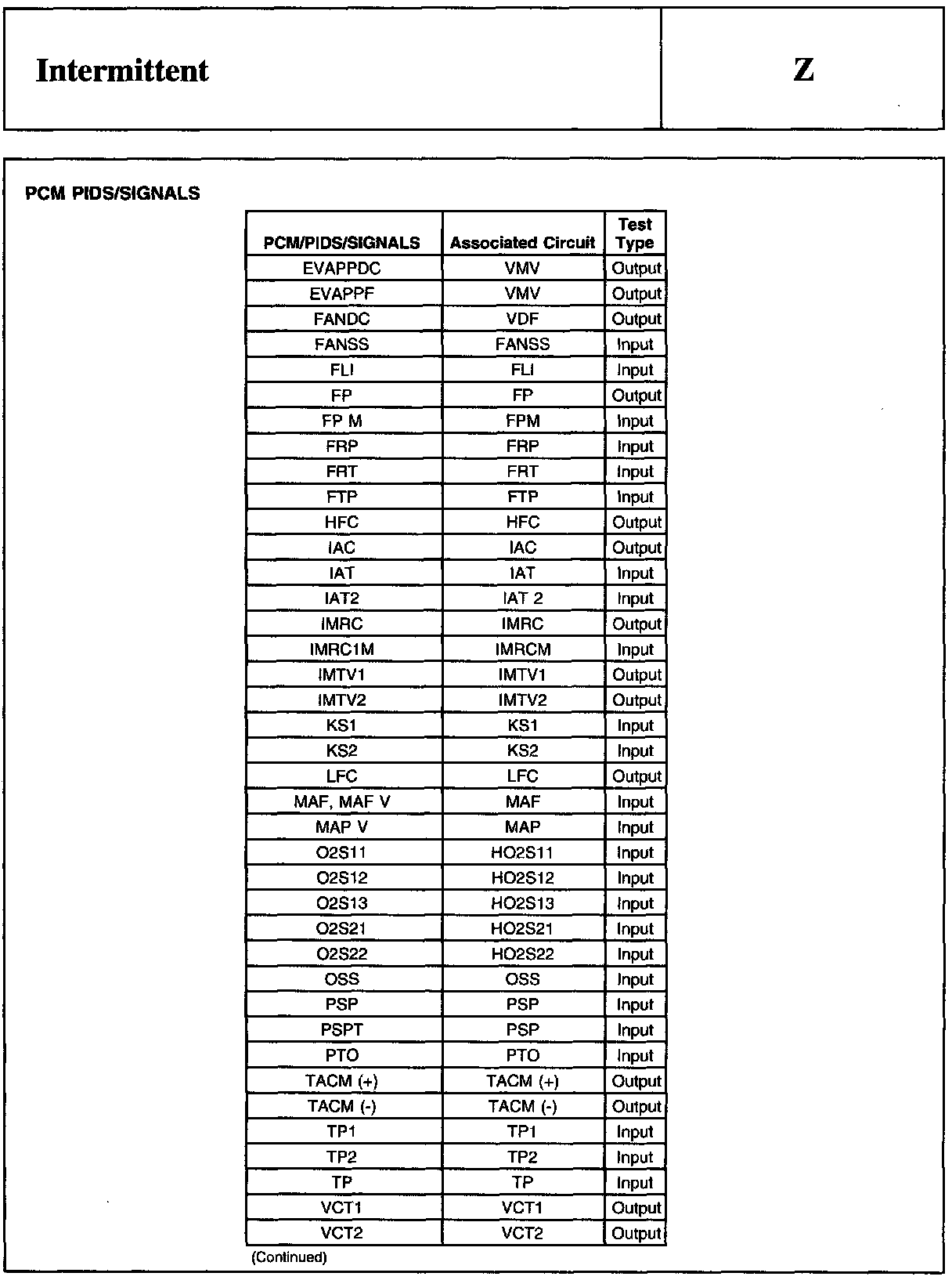
WARNING And PCM PID/Signals:
PCM PID/Signals (Continued):
Z1-Z3:
Z4-Z5:
Z6-Z8:
Z9-Z10:
Z11-Z12:
Z13-Z14:
Z15:
Z16:
Z17:
Z18-Z19: