Curiosii for ever!: Car repair manuals for everyone.

Powertrain Control Module DTC Index

Powertrain Control Module DTC Chart Part 1 Of 6:





Powertrain Control Module DTC Chart Part 2 Of 6:





Powertrain Control Module DTC Chart Part 3 Of 6:





Powertrain Control Module DTC Chart Part 4 Of 6:





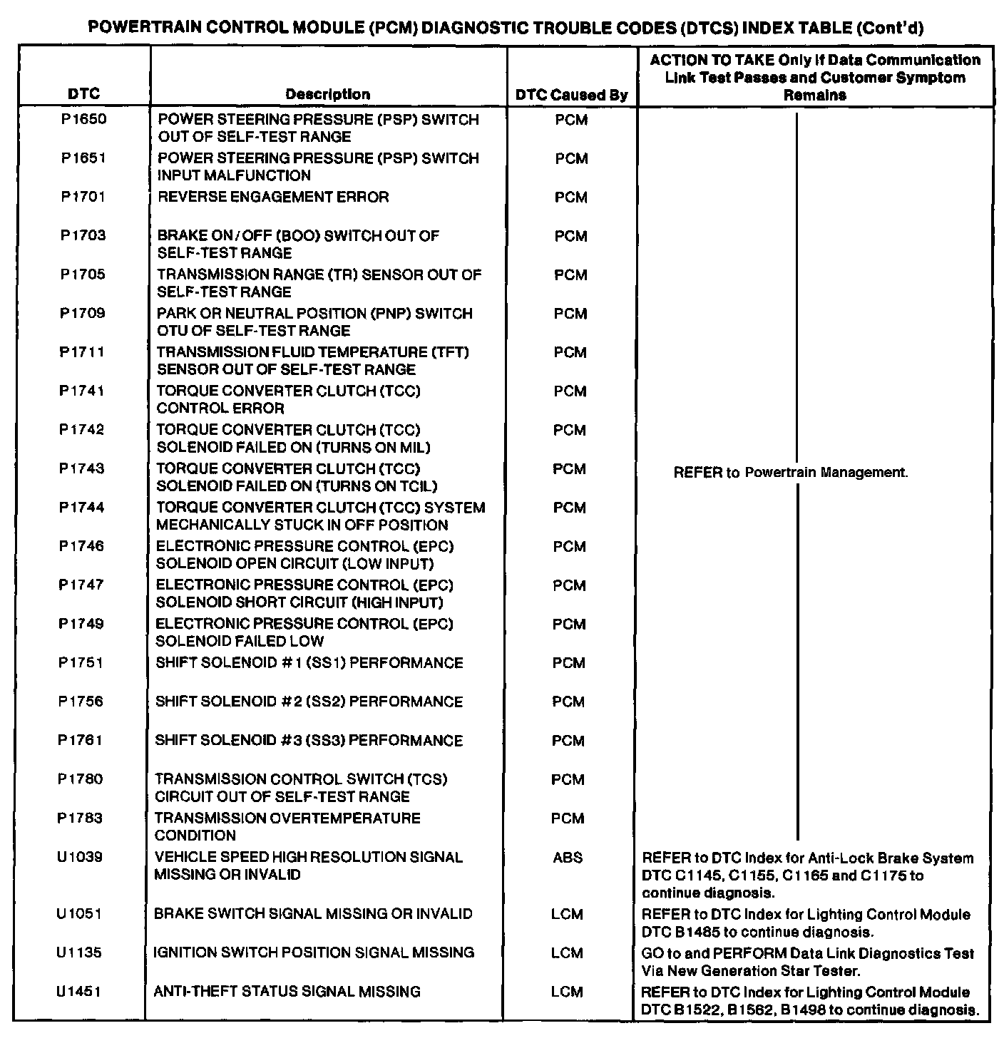
Powertrain Control Module DTC Chart Part 5 Of 6:





Powertrain Control Module DTC Chart Part 6 Of 6: