Curiosii for ever!: Car repair manuals for everyone.

Identification Codes




Identification Codes

Vehicle Identification Number (VIN)

Vehicle Identification Number (VIN) Locator





The Vehicle Identification Number (VIN) is a 17-digit combination of letters and numbers. The VIN (Vehicle Identification Number) is stamped on a metal tab riveted to the instrument panel, top upper left of the dash. The VIN (Vehicle Identification Number) number is also found on the Vehicle Certification (VC) label.

If the VIN (Vehicle Identification Number) plate requires replacement, authorized dealers must contact their respective regional office.










World Manufacturer Identifier (WMI)

The first 3 VIN (Vehicle Identification Number) positions are the World Manufacturer Identifier (WMI).

- 1FM- Ford Motor Company, USA, Multi-Purpose Vehicle (MPV)

- 5LD- Ford Motor Company/Lincoln, USA, MPV (Multi-Purpose Vehicle) (limousine)

- 5LM- Lincoln, USA, MPV (Multi-Purpose Vehicle)

Brake Type and Gross Vehicle Weight Rating (GVWR)

The fourth VIN (Vehicle Identification Number) position is the vehicle brake type and Gross Vehicle Weight Rating (GVWR) code. All vehicles use hydraulic brakes.

- J- 7,001-8,000 pounds GVWR (Gross Vehicle Weight Rating), active safety belts (all positions) with driver and front passenger air bags and 1st, 2nd and 3rd row side impact air curtains

Vehicle Line and Series

Positions 5 through 7 indicate vehicle line and series.

- J2H- Navigator, Rear Wheel Drive (RWD)

- J2J- Navigator, Four-Wheel Drive (4WD)

- J3H- Navigator L, RWD (Rear Wheel Drive)

- J3J- Navigator L, 4WD (Four-Wheel Drive)

- K1F- Expedition EL, RWD (Rear Wheel Drive), XL

- K1G- Expedition EL, 4WD (Four-Wheel Drive), XL

- K1H- Expedition EL, RWD (Rear Wheel Drive), XLT and King Ranch

- K1J- Expedition EL, 4WD (Four-Wheel Drive), XLT and King Ranch

- K1K- Expedition EL, RWD (Rear Wheel Drive), Limited

- K2A- Expedition EL, 4WD (Four-Wheel Drive), Limited

- U1F- Expedition, RWD (Rear Wheel Drive), XL

- U1G- Expedition, 4WD (Four-Wheel Drive), XL

- U1H- Expedition, RWD (Rear Wheel Drive), XLT and King Ranch

- U1J- Expedition, 4WD (Four-Wheel Drive), XLT and King Ranch

- U1K- Expedition, RWD (Rear Wheel Drive), Limited

- U2A- Expedition, 4WD (Four-Wheel Drive), Limited

Engine Type

The eighth VIN (Vehicle Identification Number) position is the engine displacement and number of cylinders.

- 5- 5.4L, SOHC, electronic fuel injection, 3V, V8, Flexible Fuel Vehicle (FFV)

Additional engine information can be obtained from the engine tag.

Computer-Generated Check Digit

The ninth VIN (Vehicle Identification Number) position is a government-assigned, computer-generated check digit.

Model Year

The tenth VIN (Vehicle Identification Number) position is the model year code.

- C- 2012

Assembly Plant

The eleventh VIN (Vehicle Identification Number) position is the assembly plant code.

- E- Kentucky Truck (Jefferson County, Kentucky)

Vehicle Build Sequence

The last 6 VIN (Vehicle Identification Number) positions are an alphanumeric code for the vehicle build sequence. This is also the vehicle serial and warranty number.

The serial number can also be found on the engine block, transmission and frame.

- A00001-F99999- Ford Division

- J00001-L99999- Lincoln Division

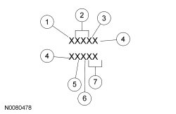
Vehicle Certification (VC) Label

Vehicle Certification (VC) Label Locator





The Vehicle Certification (VC) label contains the manufacturer name, the month and year of manufacture, the certification statement and the Vehicle Identification Number (VIN). It also includes Gross Vehicle Weight Rating (GVWR).

If a vehicle requires replacement of the VC (Vehicle Certification) label and is 4 years old or less, an authorized dealer must submit the VIN (Vehicle Identification Number) to their respective regional office. The regional office will submit a web form to the assembly plant for the replacement label. Once the label has been printed, a representative from the regional office will deliver the label to the dealer and witness installation on the vehicle. If a vehicle is more than 4 years old and requires a replacement label, the dealer must submit a request to the Department of Motor Vehicles.










Exterior Paint Code

Paint codes may be listed as a 2-part code. The first set of characters listed indicate the vehicle primary body color. The second set of characters listed (if applicable) indicate a 2-tone or accent body color. All colors are base coat/clear coat.

- DX- Dark Pearl Blue

- F1- Vermilion

- GT- Autumn Red

- JW- Green Gem #2

- UG- White Platinum

- UH- Tuxedo Black Metallic

- UJ- Sterling Gray Metallic

- UK- Royal Red

- UX- Ingot Silver Metallic

- V7- Golden Bronze

- Z1- Oxford White

Wheelbase

Wheel base codes are as follows:

- 119- 3,023 mm (119 in) wheelbase

- 131- 3,327 mm (131 in) wheelbase

Interior Trim

Interior trim codes are listed as a 2-part code. The first character identifies the trim type. The second character identifies the interior trim color.

Trim Type

- 1- Verona leather (2-tone), 40/40 captain's chairs- Expedition

- 2- Verona leather, 40/40 captain's chairs- Expedition

- 3- Verona leather, 40/40 captain's chairs with accent- Expedition

- 4- Verona leather, XLT Premium- Expedition

- 5- Aniline leather (perforated)- King Ranch- Expedition

- F- Cloth captain's chairs- Expedition

- T- Premium/SOHO leather, 40/40 captain's chairs- Navigator

Interior Trim Color

- C- Camel Tan

- L- Medium Light Stone

- W- Charcoal Black

Tape/Paint Stripe

Tape and paint stripe codes do not apply.

Radio Type

Radio type and associated codes are as follows:

- F- AM/FM stereo with CD player, navigation system and clock

- S- Premium electronic AM/FM stereo CD player

- T- Premium AM/FM stereo with in-dash CD changer and clock

Axle Code

Axle ratios and associated codes are as follows:

- 15- 3.31 ratio, non-limited slip

- 16- 3.73 ratio, non-limited slip

- H6- 3.73 ratio, limited slip

Additional axle information can be obtained from the axle tag.

Transmission Code

Transmission type and associated code Is as follows:

- 6- 6-speed automatic (6R80)

Additional transmission information can be obtained from the transmission tag.

Spring Codes

Spring codes are listed as a 2-part code. The first set of characters listed identifies the front spring codes. The second set of characters listed identifies the rear spring codes.

Front Springs

- AA- 5L14-3C098-AB

- BB- 5L14-3C098-BB

- CC- 3L1J-18B036-AA

- DD- 5L74-3C098-AC

- FF- 3L14-18B036-BA

- HH- 3L14-18B036-DA

Rear Springs

- 11- 4L14-18W002-AA

- 33- 5L14-5A965-BB

- 44- 5L14-5A965-AB

- 55- 4L1J-18W002-AA

- 66- 5L74-5A965-AB

Powertrain Calibration Information





NOTE: Powertrain calibration information is limited to a maximum of 5 characters per line on the Vehicle Certification (VC) label. Because of this, calibration identification consisting of more than 5 characters will wrap to the second line on the VC (Vehicle Certification) label.

Powertrain calibration information is printed in the lower right corner of the VC (Vehicle Certification) label. Only the base calibration information is printed. Revision levels will not appear, however, they can be obtained through a scan tool using the most current software revision.










Model Year

- 0- 2000

- 1- 2001

- 2- 2002

- 3- 2003

- 4- 2004

- 5- 2005

- 6- 2006

- 7- 2007

- 8- 2008

- 9- 2009

- A- 2010

- B- 2011

- C- 2012

Vehicle Line

- TB7- Expedition

- TB5- Navigator

Transmission

- 1- Automatic transmission

Unique Calibration

The Emissions/corporate average fuel economy/carbon dioxide compliance department is responsible for assigning these calibration numbers. Unique calibration identifications are assigned to cover similar vehicles to differentiate between tires, drive configurations, final drive ratios and other calibration-significant factors.

These 2 characters are chosen by the analyst to provide identifiable information unique to each calibration. For example, using the number 2 to denote a 2-valve engine versus using the number 4 to denote a 4-valve engine provides an easily identifiable difference.

Fleet Code

- 1- Heavy duty gas engine/Dyno

- 2- Fast-Automobile Manufacturers' Association, US

- 3- Alternative durability protocol, US

- 4- Not assigned

- 5- Not assigned

- 6- Evaporative Emission (EVAP)

- 7- Mileage accumulation, aging endurance durability

- 8- On-Board Diagnostic (OBD)

- 9- Not assigned

Certification Region

- Where multiple regions are included in one calibration, only the lead region will appear.

- 5- US 50 states

- A- US Federal, including altitude, may include Canada and/or Mexico

- B- US California Standard, includes US green states

- C- Canada

- D- China

- E- European Community (Austria, Belgium, Denmark, Finland, France, Germany, Greece, Ireland, Italy, Luxembourg, Netherlands, Portugal, Spain, Sweden and United Kingdom)

- F- Extended European Community (E plus Croatia, Czech Republic, Estonia, Hungary, Norway, Poland, Romania, Russian Federation, Slovakia, Slovenia, Switzerland and Yugoslavia)

- G- Gulf Cooperative Council (Bahrain, Kuwait, Oman, Qatar, Saudi Arabia and United Arab Emirates)

- H- Hong Kong

- J- Japan

- K- Korea

- L- Malaysia

- M- Mexico

- N- New Zealand

- P- Australia

- Q- South America (Brazil)

- S- Singapore

- T- Taiwan

- U- South America (unleaded fuel regions)

- V- Vietnam

- X- Rest Of World (ROW)

- Y- Military

- Z- Israel

Revision Level (not printed on label)

- 91-99- Hardware certification levels

- 01-04- Preliminary levels

- 00- Job 1 production (initial calibration)

- 05-09- Pre-job 1 revisions to calibrations

- 10-89- Post-job 1 revisions to calibrations

- 0B- Durability test level

- BD- OBD (On-Board Diagnostic) intermediate level (pre-05)