Curiosii for ever!: Car repair manuals for everyone.

Repair and Diagnosis: Application and ID




Identification Codes


Vehicle Identification Number (VIN)

Vehicle Identification Number (VIN) Locator





The Vehicle Identification Number (VIN) is a 17-digit combination of letters and numbers. The VIN is stamped on a metal tab riveted to the instrument panel, top upper left of the dash. The VIN number is also found on the Vehicle Certification (VC) label.

If the VIN plate requires replacement, authorized dealers must contact their respective regional office.










World Manufacturer Identifier (WMI)





The first 3 VIN positions are the world manufacturer identifier.

- 1FM - Ford Motor Company, USA, Multi-Purpose Vehicle (MPV)
- 5LM - Lincoln, USA, MPV
- 5L1 - Lincoln, USA, MPV (limousine)

Brake Type and Gross Vehicle Weight Rating (GVWR)





The fourth VIN position is the vehicle brake type and Gross Vehicle Weight Rating (GVWR) code. All vehicles use hydraulic brakes.

- F - 7,001-8,000 pounds GVWR with driver and front passenger air bags and driver and front passenger side impact air curtains
- P - 7,001-8,000 pounds GVWR with driver and front passenger air bags

Vehicle Line and Series





Positions 5 through 7 indicate vehicle line and series.

- K15 - Expedition EL, Rear Wheel Drive (RWD), XLT
- K16 - Expedition EL, Four-Wheel Drive (4WD), XLT
- K17 - Expedition EL, RWD, Eddie Bauer
- K18 - Expedition EL, 4WD, Eddie Bauer
- K19 - Expedition EL, RWD, Limited
- K20 - Expedition EL, 4WD, Limited
- L27 - Navigator L, RWD
- L28 - Navigator L, 4WD
- U15 - Expedition, RWD, XLT
- U16 - Expedition, 4WD, XLT
- U17 - Expedition, RWD, Eddie Bauer
- U18 - Expedition, 4WD, Eddie Bauer
- U19 - Expedition, RWD, Limited
- U20 - Expedition, 4WD, Limited
- U27 - Navigator, RWD
- U28 - Navigator, 4WD

Engine Type





The eighth VIN position is the engine displacement and number of cylinders.

- 5 - 5.4L, SOHC, electronic fuel injection, 3V, V-8, gas

Computer-Generated Check Digit





The ninth VIN position is a government-assigned, computer-generated check digit.

Model Year





The tenth VIN position is the model year code.

- 9 - 2009

Assembly Plant





The eleventh VIN position is the assembly plant code.

- L - Michigan Truck (Wayne, Michigan)

Vehicle Build Sequence





The last 6 VIN positions are an alphanumeric code for the vehicle build sequence. This is also the vehicle serial and warranty number.

The serial number can also be found on the engine block, transmission and frame.

- A00001-F99999 - Ford Division
- J00001-L99999 - Lincoln Division


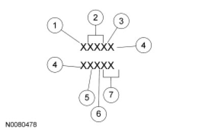
Vehicle Certification (VC) Label

Vehicle Certification (VC) Label Locator





The Vehicle Certification (VC) label contains the manufacturer name, the month and year of manufacture, the certification statement and the Vehicle Identification Number (VIN). It also includes Gross Vehicle Weight Rating (GVWR).

If a vehicle requires replacement of the VC label and is 4 years old or less, an authorized dealer must submit the VIN to their respective regional office. The regional office will submit a web form to the assembly plant for the replacement label. Once the label has been printed, a representative from the regional office will deliver the label to the dealer and witness installation on the vehicle. If a vehicle is more than 4 years old and requires a replacement label, the dealer must submit a request to the Department of Motor Vehicles.










Exterior Paint Code





Paint codes may be listed as a 2-part code. The first set of characters listed indicate the vehicle primary body color. The second set of characters listed (if applicable) indicate a 2-tone or accent body color. All colors are base coat/clear coat.

- DX - Dark Blue Pearl
- HS - Stone Green
- JV - Sangria Red
- T9 - Black Pearl Slate
- UA - Ebony
- UG - White Platinum
- UK - Royal Red
- YZ - Oxford White
- ZY - Vapor Silver Pearl

Wheelbase





- 119 - 3,023 mm (119 in) wheelbase
- 131 - 3,327 mm (131 in) wheelbase

Interior Trim





Interior trim codes are listed as a 2-part code. The first character identifies the trim type. The second character identifies the interior trim color.

Trim Type
- 1 - Verona leather (2-tone), 40/40 captain's chairs - Expedition
- 2 - Verona leather, 40/40 captain's chairs - Expedition
- 3 - Verona leather, 40/40 captain's chairs with accent - Expedition
- 4 - Verona leather, Eddie Bauer - Expedition
- 5 - Aniline leather (perforated) - King Ranch - Expedition
- F - Cloth captain's chairs - Expedition
- M - Cloth, 40/60 split bench seat - Expedition
- T - Premium/Soho leather, 40/40 captain's chairs - Navigator

Interior Trim Color
- C - Camel Tan
- L - Medium Light Stone
- W - Charcoal Black

Tape/Paint Stripe





Tape and paint stripe codes do not apply.

Radio Type





- 1 - AM/FM stereo with in-dash 6-disc CD changer and clock
- F - AM/FM stereo with CD player, navigation system and clock
- S - Premium electronic AM/FM stereo CD player
- T - Premium AM/FM stereo with in-dash CD changer and clock
- U - Premium AM/FM stereo with in-dash, 6-disc CD changer and THX speaker system
- X - AM/FM stereo with in-dash, CD changer and navigation system

Axle Code





- 15 - 3.31 ratio, non-limited slip
- 16 - 3.73 ratio, non-limited slip
- H6 - 3.73 ratio, limited slip

Transmission Code





- 6 - 6-speed automatic (6R80)

Spring Codes





Spring codes are listed as a 2-part code. The first set of characters listed identifies the front spring codes. The second set of characters listed identifies the rear spring codes.

Front Springs
- AA - 5L14-3C098-AB
- BB - 5L14-3C098-BB
- CC - 3L1J-18B036-AA
- DD - 5L74-3C098-AC
- FF - 3L14-18B036-BA
- HH - 3L14-18B036-DA

Rear Springs
- 11 - 4L14-18W002-AA
- 33 - 5L14-5A965-BB
- 44 - 5L14-5A965-AB
- 55 - 4L1J-18W002-AA
- 66 - 5L74-5A965-AB

Powertrain Calibration Information





NOTE: Powertrain calibration information is limited to a maximum of 5 characters per line on the Vehicle Certification (VC) label. Because of this, calibration identification consisting of more than 5 characters will wrap to the second line on the VC label.

Powertrain calibration information is printed in the lower right corner of the VC label. Only the base calibration information is printed. Revision levels will not appear, however, they can be obtained through a scan tool using the most current software revision.










Model Year
- 0 - 2000
- 1 - 2001
- 2 - 2002
- 3 - 2003
- 4 - 2004
- 5 - 2005
- 6 - 2006
- 7 - 2007
- 8 - 2008
- 9 - 2009

Vehicle Line
- TB7 - Expedition
- TB5 - Navigator

Transmission
- 1 - Automatic transmission

Unique Calibration

The Emissions/corporate average fuel economy (CAFE)/carbon dioxide (CO2) Compliance Department is responsible for assigning these calibration numbers. Unique calibration identifications are assigned to cover similar vehicles to differentiate between tires, drive configurations, final drive ratios and other calibration-significant factors.

These 2 characters are chosen by the analyst to provide identifiable information unique to each calibration. For example, using the number 2 to denote a 2-valve engine versus using the number 4 to denote a 4-valve engine provides an easily identifiable difference.

Fleet Code
- 1 - Heavy duty gas engine/Dyno
- 2 - Fast Automobile Manufacturer's Association, U.S.
- 3 - Alternative durability protocol, U.S.
- 4 - Not assigned
- 5 - Not assigned
- 6 - Evaporative Emission (EVAP)
- 7 - Mileage accumulation, aging endurance durability
- 8 - On-Board Diagnostic (OBD)
- 9 - Not assigned

Certification Region
- Where multiple regions are included in one calibration, only the lead region will appear.
- 5 - U.S. 50 states
- A - U.S. Federal, including altitude, may include Canada and/or Mexico
- B - U.S. California Standard, includes U.S. green states
- C - Canada
- D - China
- E - European Community (Austria, Belgium, Denmark, Finland, France, Germany, Greece, Ireland, Italy, Luxembourg, Netherlands, Portugal, Spain, Sweden and United Kingdom)
- F - Extended European Community (E plus Croatia, Czech Republic, Estonia, Hungary, Norway, Poland, Romania, Russian Federation, Slovakia, Slovenia, Switzerland and Yugoslavia)
- G - Gulf Cooperative Council (Bahrain, Kuwait, Oman, Qatar, Saudi Arabia and United Arab Emirates [UAE])
- H - Hong Kong
- J - Japan
- K - Korea
- L - Malaysia
- M - Mexico
- N - New Zealand
- P - Australia
- Q - South America (Brazil)
- S - Singapore
- T - Taiwan
- U - South America (unleaded fuel regions)
- V - Vietnam
- X - Rest Of World (ROW)
- Y - Military
- Z - Israel

Revision Level (not printed on label)
- 91-99 - Hardware certification levels
- 01-04 - Preliminary levels
- 00 - Job 1 production (initial calibration)
- 05-09 - Pre-job 1 revisions to calibrations
- 10-89 - Post-job 1 revisions to calibrations
- 0B - Durability test level
- BD - OBD intermediate level (pre-05)