Curiosii for ever!
: Car repair manuals for everyone.
Home
>>
Lincoln Truck
>>
2009
>>
MKX AWD V6-3.5L
>>
Repair and Diagnosis
>>
Powertrain Management
>>
Computers and Control Systems
>>
Testing and Inspection
>>
Scan Tool Testing and Procedures
>>
Typical Diagnostic Reference Values
Typical Diagnostic Reference Values
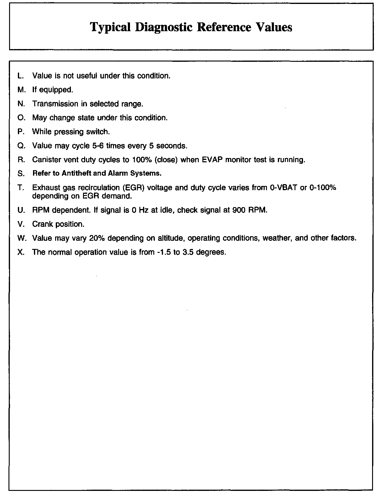
Typical Diagnostic Reference Values Notes (Part 1):
Typical Diagnostic Reference Values Notes (Part 2):
3.5L 4V Edge/MKX (Part 1):
3.5L 4V Edge/MKX (Part 2):
3.5L 4V Edge/MKX (Part 3):