Curiosii for ever!: Car repair manuals for everyone.

Test T: LFC 15/DTC C1414 - Incorrect Module Design Level

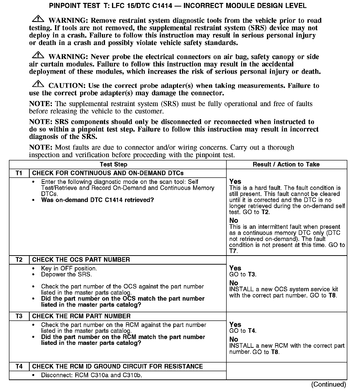
PINPOINT TEST T: LFC 15/DTC C1414 - INCORRECT MODULE DESIGN LEVEL

Normal Operation
The restraints control module (RCM) monitors the communication condition and circuits of the occupant classification sensor (OCS) system for an embedded vehicle ID. The RCM also utilizes C310a-20 and C310a-21 for identifying the correct RCM for the vehicle. If the RCM detects an unexpected condition or code from the OCS system or detects a fault at C310a-20 or C310a-21, it will store DTC C1414 in memory and flash LFC 15 (or higher priority code if one exists) on the air bag warning indicator.

- DTC C1414 Incorrect Module Design Level - If the RCM detects software and hardwired VID combination that does not match at start-up, it will set this DTC.

NOTE: RCM connector C310a-20 should be populated with circuit 1203 (BK/LB) and C310a-21 should be no connect (open circuit) for all cab styles.

This pinpoint test is intended to diagnose the following:
- Wiring, terminals or connectors
- Incorrect RCM for vehicle
- Incorrect OCS system for vehicle


T1-T4:






T4-T7:






T8: