Curiosii for ever!: Car repair manuals for everyone.

Compression Check

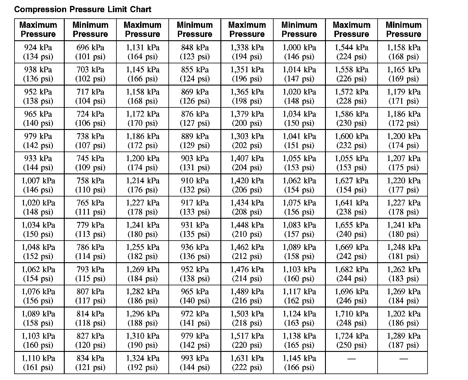
AllData Editors Note - Ford does not provide a cranking pressure specification, only an acceptable range.

Compression Test - Test Results
The indicated compression pressures are considered within specification if the lowest reading cylinder is at least 75% of the highest reading.

Compression Pressure Limit Chart: