Curiosii for ever!: Car repair manuals for everyone.

Diagnosis System





NETWORKING: CAN COMMUNICATION SYSTEM: DIAGNOSIS SYSTEM

1. ECUS OR SENSORS WHICH COMMUNICATE THROUGH CAN COMMUNICATION SYSTEM

(a) CAN No. 1 Bus

(1) Hybrid vehicle control ECU

(2) Power management control ECU

(3) Transmission control ECU

(4) Brake booster with master cylinder (Skid control ECU)

(5) Airbag sensor assembly

(6) Multiplex network body ECU (Main body ECU)

(7) Smart key ECU (Certification ECU)

(8) Combination meter

(9) Display and navigation module display (Navigation ECU)*1

(10) Headlight swivel ECU (AFS ECU)*2

(11) Driving support ECU*3

(12) Seat belt control ECU*4

(b) CAN No. 2 Bus

(1) Power management control ECU

(2) Hybrid vehicle control ECU

(3) Brake booster with master cylinder (Skid control ECU)

(4) Power steering ECU

(5) Spiral cable with sensor (Steering angle sensor)

(6) Yaw rate sensor

(7) Parking assist ECU*5

(8) Clearance warning ECU*6

(c) CAN MS Bus

(1) Multiplex network body ECU (Main body ECU)

(2) Tire pressure monitor ECU

(3) Multiplex tilt and telescopic ECU*7

(4) Front power seat switch LH*7

(5) Outer mirror control ECU LH*7

(6) Outer mirror control ECU RH*7

(d) Power Management Bus

(1) Power management control ECU

(2) Air conditioning amplifier

(e) Driving Support Bus*3

(1) Driving support ECU

(2) Millimeter wave radar sensor

(3) Lane recognition camera sensor*8

(4) Driver monitor ECU*9

HINT
*1: w/ Navigation system

*2: w/ AFS

*3: w/ Dynamic radar cruise control system

*4: w/ Pre-collision system

*5: w/ Wide view front monitor system

*6: w/ Intuitive parking assist system

*7: w/ Seat position memory

*8: w/ Lane-keeping assist system

*9: w/ Driver monitor system

2. CHECK FOR INSTALLED SYSTEMS (ECUS AND SENSORS) THAT ADOPT CAN COMMUNICATION

(a) The systems (ECUs and sensors) that adopt CAN communication vary depending on the vehicle and optional equipment. Check which systems (ECUs and sensors) are installed on the vehicle.





3. CAN BUS CHECK

HINT
The ECUs and sensors that are properly connected to the CAN communication system can be displayed using the Techstream.

(a) Using the Techstream, select "CAN Bus Check" from "System Select".

4. DTC TABLE BY ECU

HINT
* In the CAN communication system, CAN communication system DTCs can be displayed by the ECU using the Techstream.
* If CAN communication system DTCs are output, trouble cannot be determined only by the DTCs. Perform troubleshooting according to How to Proceed with Troubleshooting How to Proceed With Troubleshooting.

(a) Hybrid Vehicle Control ECU / Techstream Display "Engine"





HINT
* DTC communication uses the CAN communication system.
* *1: Refer to Engine Control system U0001.
* *2: Refer to Engine Control system SFI System.

(b) Hybrid Vehicle Control ECU / Techstream Display "Hybrid Control"

HINT
Refer to Hybrid Control System "DTC CHECK / CLEAR" Hybrid Control System.





HINT
* DTC communication uses the CAN communication system.
* *3: Refer to Engine Control system U0110-159.
* *4: Refer to Engine Control system U0110-160.
* *5: Refer to Engine Control system U0151-763.
* *6: Refer to Engine Control system U0164-594.
* *7: Refer to Engine Control system U0424.

(c) Power Management Control ECU / Techstream Display "Electric Power Control"





HINT
DTC communication uses the CAN communication system.

(d) Power Management Control ECU / Techstream Display "Power Management1"





HINT
* DTC communication uses the CAN communication system.
* "Power Management1" output DTC is communication error in the CAN No. 2 bus.

(e) Power Management Control ECU / Techstream Display "Power Management2"





HINT
* DTC communication uses the CAN communication system.
* "Power Management2" output DTC is communication error in the power management bus.

(f) Transmission Control ECU / Techstream Display "Transmission Control"





HINT
DTC communication uses the CAN communication system.

(g) Power Steering ECU / Techstream Display "EPS"





HINT
DTC communication uses the CAN communication system.

(h) Skid control ECU (Brake booster with master cylinder) / Techstream Display "ABS/VSC/TRAC"





HINT
DTC communication uses the CAN communication system.

(i) Main Body ECU (Multiplex network body ECU))/ Techstream Display "Main Body"





HINT
* DTC communication uses the CAN communication system.
* *8: Shift state signal can not received from hybrid vehicle control ECU

(j) Certification ECU (Smart key ECU)/ Techstream Display "Smart Access/ Smart Key/ Wireless Tuner"





HINT
DTC communication uses the CAN communication system.

(k) Combination Meter / Techstream Display "Combination Meter"





HINT
DTC communication uses the CAN communication system.

(l) Air Conditioning Amplifier / Techstream Display "Air Conditioner"





HINT
* DTC communication uses the CAN communication system.
* *8: Shift state signal can not received from hybrid vehicle control ECU

(m) AFS ECU (Headlight Swivel ECU) / Techstream Display "AFS/HL Auto Leveling"





HINT
* DTC communication uses the CAN communication system.
* *8: Shift state signal can not received from hybrid vehicle control ECU

(n) Navigation ECU (Display and navigation module display) / Techstream Display "AVN1"





HINT
* DTC communication uses the CAN communication system.
* *: Electronically Control Brake

(o) Seat Belt Control ECU / Techstream Display "Pre-Collision1"





HINT
DTC communication uses the CAN communication system.

(p) Driving Support ECU / Techstream Display "Pre-Collision2"





HINT
DTC communication uses the CAN communication system.

(q) Driving Support ECU / Techstream Display "Cruise Control (ACC)"





DTC communication uses the CAN communication system.

(r) Driving Support ECU / Techstream Display "Lane Keeping Assist"





HINT
* DTC communication uses the CAN communication system.
* *9: If U1119 is output alone, CAN communication is normal. Refer to Lane-keeping Assist System Lane-Keeping Assist System.

(s) Parking Assist ECU / Techstream Display "Parking Assist Monitor System"





HINT
DTC communication uses the CAN communication system.

(t) Clearance Warning ECU / Techstream Display "Clearance Sonar1"





HINT
* DTC communication uses the CAN communication system.
* *8: Shift state signal can not received from hybrid vehicle control ECU

(u) Multiplex tilt and Telescopic ECU / Techstream Display "Tilt and Telescopic"





HINT
* DTC communication uses the CAN communication system.
* *10: If B2621 is output alone (U1115 is not output), CAN communication is normal. Refer to Power Tilt and Telescopic Steering Column System B2621.
* *11: If B2624 is output alone (U1115 is not output), CAN communication is normal. Refer to Power Tilt and Telescopic Steering Column System B2624.

(v) Outer Mirror Control ECU LH/ Techstream Display "L-Mirror"





HINT
DTC communication uses the CAN communication system.

(w) Outer Mirror Control ECU RH/ Techstream Display "R-Mirror"





HINT
DTC communication uses the CAN communication system.

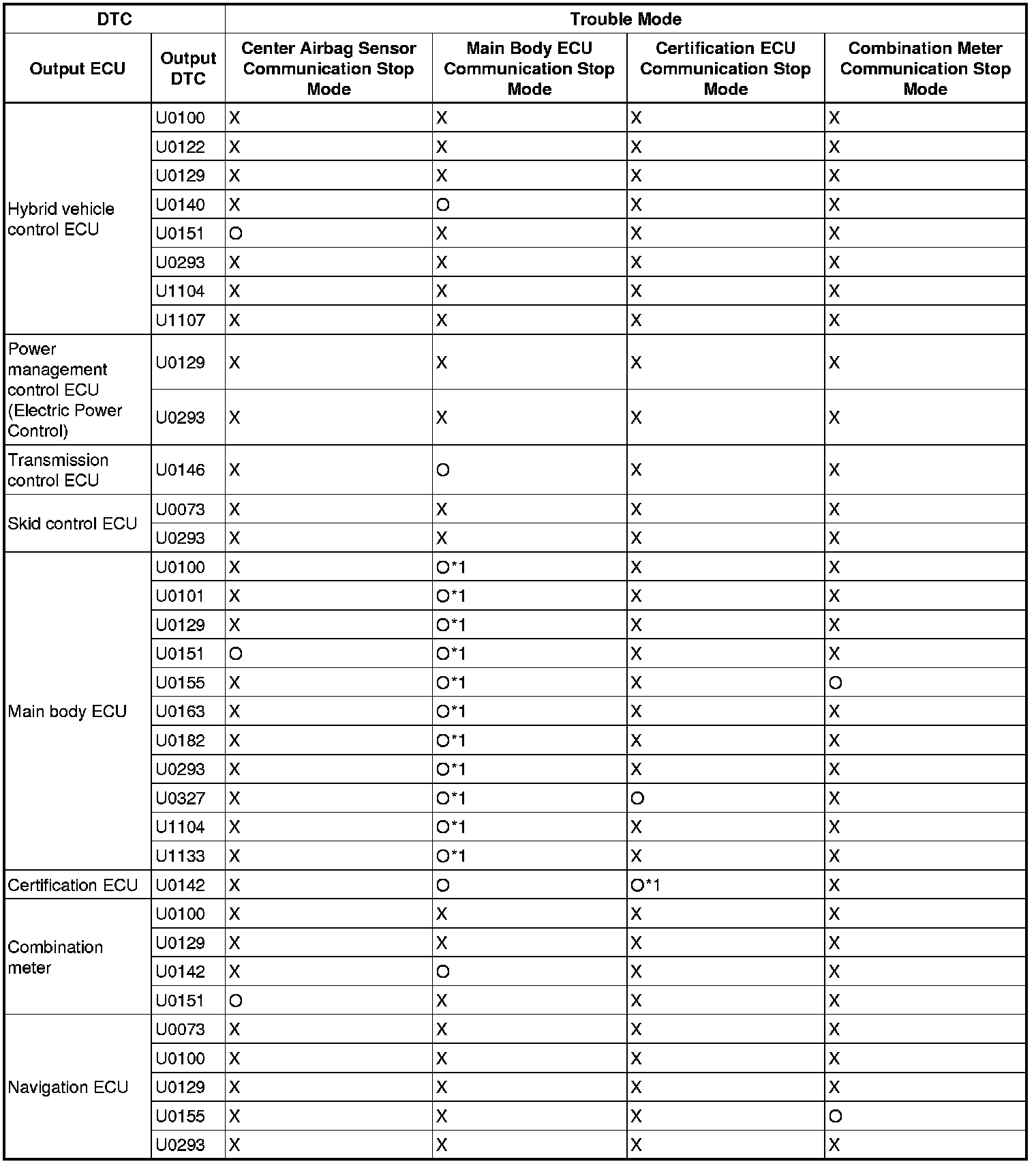
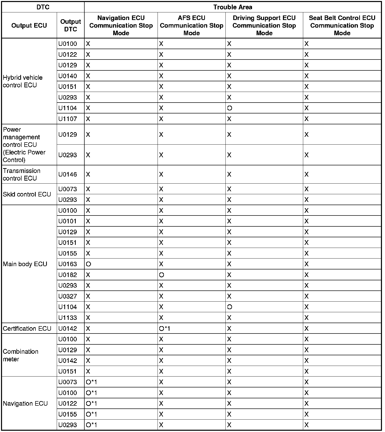
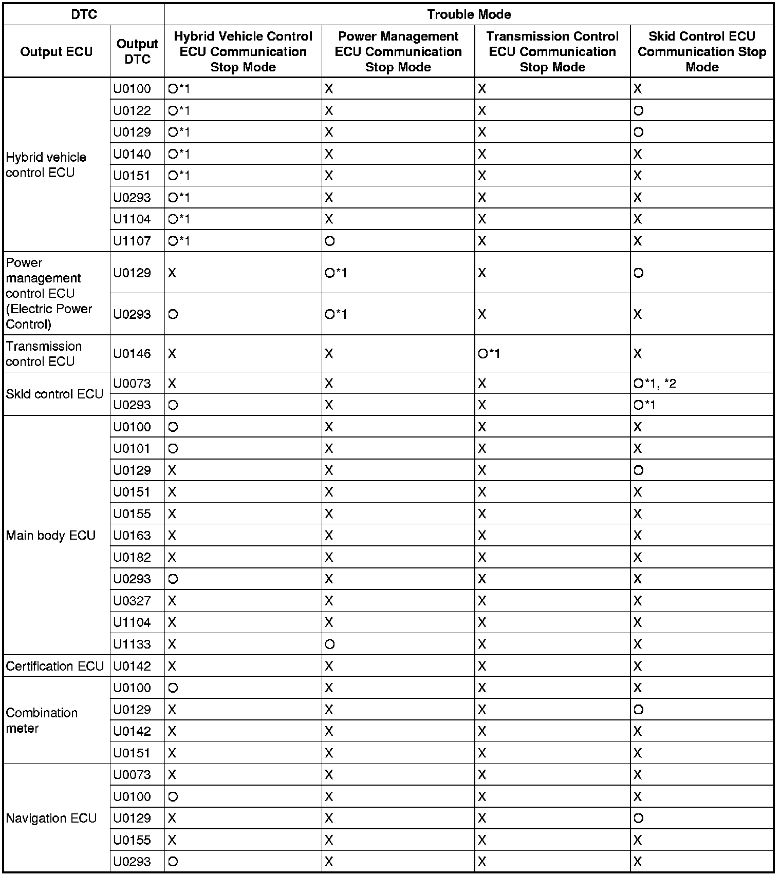
5. DTC COMBINATION TABLE

(a) CAN No. 1 Bus

























HINT
* o: Set
* X: Not set or may be set according to the malfunctioning part when one side of the CAN branch wire opens.
* *1: DTC is not output during communication error, but will be output as a history DTC (past DTC) when communication returns to normal.
* *2: DTC U0100, U0123, U0124 and U0126 are not stored when DTC U0073 has already been stored.
* Hybrid Vehicle Control ECU Communication Stop Mode Hybrid Vehicle Control ECU Communication Stop Mode
* Power Management ECU Communication Stop Mode Power Management Control ECU Communication Stop Mode
* Transmission Control ECU Communication Stop Mode Transmission Control ECU Communication Stop Mode
* Skid Control ECU Communication Stop Mode Skid Control ECU Communication Stop Mode
* Center Airbag Sensor Communication Stop Mode Center Airbag Sensor Communication Stop Mode
* Main Body ECU Communication Stop Mode Main Body ECU Communication Stop Mode
* Certification ECU Communication Stop Mode Certification ECU Communication Stop Mode
* Combination Meter ECU Communication Stop Mode Combination Meter ECU Communication Stop Mode
* Navigation ECU Communication Stop Mode Navigation ECU Communication Stop Mode
* AFS ECU Communication Stop Mode AFS ECU Communication Stop Mode
* Driving Support ECU Stop Mode Cruise Control ECU Communication Stop Mode
* Seat Belt Control ECU Stop Mode Seat Belt Control ECU Communication Stop Mode