Curiosii for ever!: Car repair manuals for everyone.

Diagnosis System





NETWORKING: CAN COMMUNICATION SYSTEM: DIAGNOSIS SYSTEM

1. ECUS OR SENSORS WHICH COMMUNICATE THROUGH CAN COMMUNICATION SYSTEM

(a) V1 Bus

(1) ECM

(2) Skid control ECU (Brake booster with master cylinder assembly)

(3) Main body ECU (Multiplex network body ECU)

(4) Yaw rate and acceleration sensor

(5) Power steering ECU assembly

(6) Certification ECU (Smart key ECU assembly)

(7) Airbag sensor assembly

(8) Steering angle sensor (Spiral cable with sensor sub-assembly)

(9) Transmission control ECU assembly

(10) Power management control ECU

(11) Combination meter assembly

(12) Navigation ECU (Display and navigation module display)*1

(13) Navigation ECU (Navigation computer sub-assembly)*2

(b) V2 Bus

(1) Power management control ECU

(2) Driving support ECU assembly*3

(3) Seat belt control ECU*4

(4) Parking assist ECU*1

(5) Clearance warning ECU assembly*5

(c) Power Management Bus

(1) Power management control ECU

(2) ECM

(3) Skid control ECU (Brake booster with master cylinder assembly)

(4) Air conditioning amplifier assembly

(d) CAN MS Bus

(1) Main body ECU (Multiplex network body ECU)

(2) Position control ECU and switch assembly*6

(3) Outer mirror control ECU assembly (Driver side)*6

(4) Outer mirror control ECU assembly (Front passenger side)*6

HINT
*1: w/ Navigation system (for DVD)

*2: w/ Navigation system (for HDD)

*3: w/ Dynamic radar cruise control system

*4: w/ Pre-collision system

*5: w/ Intuitive parking assist system

*6: w/ Seat position memory

2. CHECK FOR INSTALLED SYSTEMS (ECUS AND SENSORS) THAT ADOPT CAN COMMUNICATION

(a) The systems (ECUs and sensors) that adopt CAN communication vary depending on the vehicle and optional equipment. Check which systems (ECUs and sensors) are installed on the vehicle.





HINT
*1: w/ Navigation system (for DVD)

*2: w/ Navigation system (for HDD)

3. CAN BUS CHECK

HINT
The ECUs and sensors that are properly connected to the CAN communication system can be displayed using the Techstream.

(a) Using the Techstream, select "CAN Bus Check" from "System Select".

4. DTC TABLE BY ECU

HINT
* In the CAN communication system, the CAN communication DTCs of each ECU can be displayed using the Techstream.
* If CAN communication system DTCs are output, trouble cannot be determined only by the DTCs. Perform troubleshooting according to How to Proceed with Troubleshooting How to Proceed With Troubleshooting.

(a) Power Management Control ECU / Techstream Display "Hybrid Control"





HINT
* This ECU uses the CAN communication system for DTC communication.
* *1: Refer to Hybrid Control System U0110-159.
* *2: Refer to Hybrid Control System U0110-160.
* *3: Refer to Hybrid Control System U0424.
* *4: Refer to Dynamic Radar Cruise Control System Dynamic Radar Cruise Control System.

(b) Power Management Control ECU / Techstream Display "Electric Power Control"





HINT
* This ECU uses the CAN communication system for DTC communication.
* *5: Refer to Smart Access System with Push-Button Start Smart Access System With Push-Button Start (For Start Function).

(c) Power Management Control ECU / Techstream Display "PM1 Gateway"





HINT
* This ECU uses the CAN communication system for DTC communication.
* "PM1 Gateway" stores DTCs when a communication error is detected in the V2 bus.

(d) Power Management Control ECU / Techstream Display "PM2 Gateway"





HINT
* This ECU uses the CAN communication system for DTC communication.
* "PM2 Gateway" stores DTCs when a communication error is detected in the power management bus.

(e) Power Management Control ECU / Techstream Display "Cruise Control"





HINT
This ECU uses the CAN communication system for DTC communication.

(f) ECM / Techstream Display "Engine and ECT"





HINT
This ECU uses the CAN communication system for DTC communication.

(g) Transmission Control ECU Assembly / Techstream Display "Transmission Control"





HINT
This ECU uses the CAN communication system for DTC communication.

(h) Power Steering ECU Assembly / Techstream Display "EMPS"





HINT
This ECU uses the CAN communication system for DTC communication.

(i) Skid Control ECU (Brake booster with master cylinder assembly) / Techstream Display "ABS/VSC/TRAC"





HINT
This ECU uses the CAN communication system for DTC communication.

(j) Steering Angle Sensor / Techstream Display "Steering Angle Sensor"

HINT
The steering angle sensor is connected to the CAN communication system, but the steering angle sensor does not store or output CAN communication DTCs.

(k) Yaw Rate and Acceleration Sensor / Techstream Display "Yaw Rate / Deceleration Sensor"

HINT
The yaw rate and acceleration sensor is connected to the CAN communication system, but the yaw rate and acceleration sensor does not store or output CAN communication DTCs.

(l) Airbag Sensor Assembly / Techstream Display "SRS Airbag"

HINT
The airbag sensor assembly is connected to the CAN communication system, but the airbag sensor assembly does not store or output CAN communication DTCs.

(m) Main Body ECU (Multiplex network body ECU) / Techstream Display "Main Body"





HINT
This ECU uses the CAN communication system for DTC communication.

(n) Certification ECU (Smart key ECU assembly) / Techstream Display "Smart Access"





HINT
This ECU uses the CAN communication system for DTC communication.

(o) Air Conditioning Amplifier Assembly / Techstream Display "Air Conditioner"





HINT
This ECU uses the CAN communication system for DTC communication.

(p) Combination Meter Assembly / Techstream Display "Combination Meter"





HINT
This ECU uses the CAN communication system for DTC communication.

(q) Navigation ECU (Display and navigation module display) (w/ Navigation system for DVD) / Techstream Display "Navigation System"





HINT
This ECU uses the CAN communication system for DTC communication.

(r) Navigation ECU (Navigation computer sub-assembly) (w/ Navigation system for HDD) / Techstream Display "Navigation System"





HINT
This ECU uses the CAN communication system for DTC communication.

(s) Seat Belt Control ECU / Techstream Display "Pre-Collision"





HINT
This ECU uses the CAN communication system for DTC communication.

(t) Driving Support ECU Assembly / Techstream Display "Pre-Collision2"





HINT
* This ECU uses the CAN communication system for DTC communication.
* *6: Refer to Pre-Collision System Pre-Collision System.
* *7: Refer to Pre-Collision System Pre-Collision System.

(u) Driving Support ECU Assembly / Techstream Display "Radar Cruise"





HINT
* This ECU uses the CAN communication system for DTC communication.
* *8: Refer to Dynamic Radar Cruise Control System Dynamic Radar Cruise Control System.
* *9: Refer to Dynamic Radar Cruise Control System Dynamic Radar Cruise Control System.

(v) Clearance Warning ECU Assembly / Techstream Display "Intuitive P/A"





HINT
* This ECU uses the CAN communication system for DTC communication.
* *10: Shift state signal can not received from hybrid vehicle control ECU

(w) Position Control ECU and Switch Assembly/ Techstream Display "Driver Seat"

HINT
The position control ECU and switch assembly is connected to the CAN communication system, but the position control ECU and switch assembly does not store or output CAN communication DTCs.

(x) Outer Mirror Control ECU Assembly (Driver side)/ Techstream Display "Mirror L"





HINT
This ECU uses the CAN communication system for DTC communication.

(y) Outer Mirror Control ECU Assembly (Front passenger side)/ Techstream Display "Mirror R"





HINT
This ECU uses the CAN communication system for DTC communication.

(z) Parking Assist ECU / Techstream Display "Parking Assist Monitor System"





HINT
This ECU uses the CAN communication system for DTC communication.

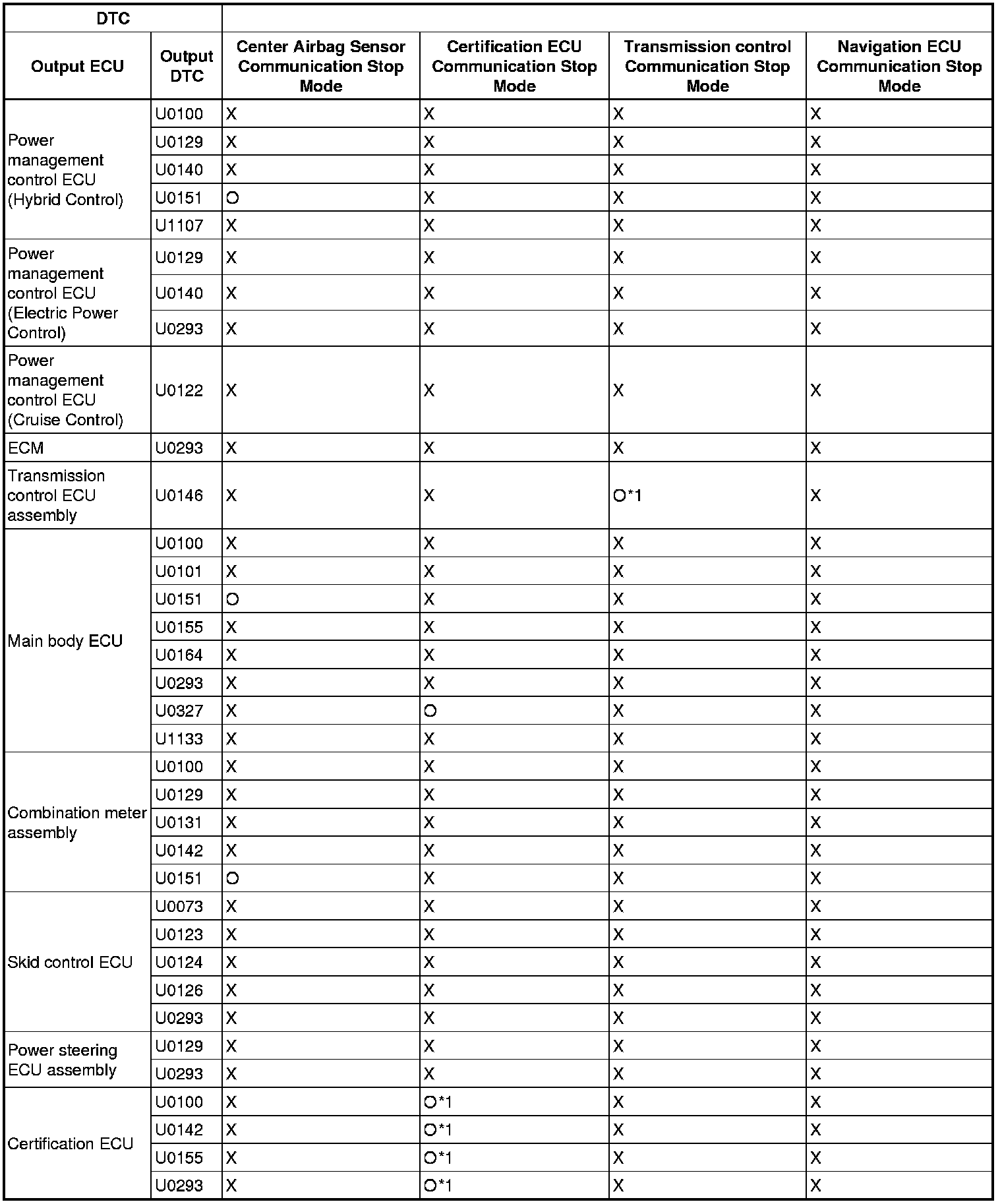
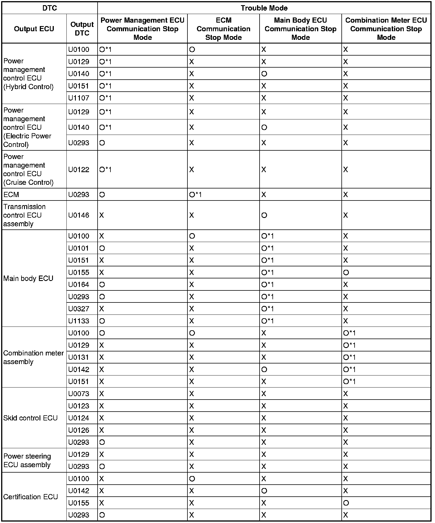
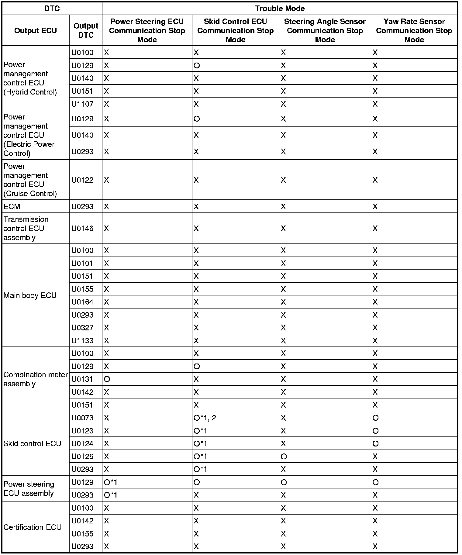
5. DTC COMBINATION TABLE

(a) V1 Bus

























HINT
* o: Set
* X: Not set or may be set according to the malfunctioning part when one line of a CAN branch is open.
* *1: DTC is not output during communication error, but will be output as a history DTC (past DTC) when communication returns to normal.
* *2: DTC U0123, U0124 and U0126 are not stored when DTC U0073 has already been stored.
* Skid Control ECU Communication Stop Mode Skid Control ECU Communication Stop Mode
* Power Steering ECU Communication Stop Mode Power Steering ECU Communication Stop Mode
* Steering Angle Sensor Communication Stop Mode Steering Angle Sensor Communication Stop Mode
* Yaw Rate Sensor Communication Stop Mode Yaw Rate Sensor Communication Stop Mode
* ECM Communication Stop Mode ECM Communication Stop Mode
* Transmission Control ECU Communication Stop Mode Transmission Control ECU Communication Stop Mode
* Main Body ECU Communication Stop Mode Main Body ECU Communication Stop Mode
* Combination Meter ECU Communication Stop Mode Combination Meter ECU Communication Stop Mode
* Center Airbag Sensor Communication Stop Mode Center Airbag Sensor Communication Stop Mode
* Certification ECU Communication Stop Mode Certification ECU Communication Stop Mode
* Power Management ECU Communication Stop Mode Power Management Control ECU Communication Stop Mode
* Navigation ECU Communication Stop Mode Navigation ECU Communication Stop Mode