Curiosii for ever!: Car repair manuals for everyone.

Diagnosis System





NETWORKING: CAN COMMUNICATION SYSTEM: DIAGNOSIS SYSTEM

1. ECUS OR SENSORS WHICH COMMUNICATE THROUGH CAN COMMUNICATION SYSTEM

(a) ECM

(b) Skid control ECU (Brake actuator assembly)

(c) Steering angle sensor

(d) Yaw rate sensor

(e) Power steering ECU

(f) Center airbag sensor

(g) Gateway ECU

(h) Distance control ECU*1

(i) Seat belt control ECU*2

(j) Navigation ECU (Display and navigation module display)*3

HINT
*1: W/ Dynamic radar cruise control system

*2: W/ Pre-collision system

*3: W/ Navigation system

2. CHECK FOR INSTALLED SYSTEMS (ECUS AND SENSORS) THAT ADOPT CAN COMMUNICATION

(a) Systems (ECUs and sensors) that adopt CAN communication vary depending on the vehicle optional equipment. Check which systems (ECUs and sensors) are installed on the vehicle.





3. CAN BUS CHECK

(a) Using the Techstream, select "CAN Bus Check" from the "System Select".

4. DTC TABLE BY ECU

HINT
If CAN communication system DTCs are output, trouble cannot be determined only by the DTCs. Perform troubleshooting according to How to Proceed with Troubleshooting How to Proceed With Troubleshooting. (If however, U0235 or U01102 is output alone, see the dynamic radar cruise control system.)

(a) ECM/Techstream display "Engine"





HINT
* DTC communication uses the CAN communication system.
* Distance control ECU data is also output.
* *1: The ECM is malfunctioning if U0101 is output. Replace the ECM.

* *2: If U0235 or U1102 is output alone, the CAN communication is normal U0235 for U0235, U1102 for U1102).

* *3: Dynamic radar cruise DTC

(b) ECM/Techstream display "ECT"

HINT
* DTC communication uses the CAN communication system.






* *1: The ECM is malfunctioning if U0100 is output. Replace ECM.
(c) Skid Control ECU/Techstream display "ABS/VSC/TRAC"





HINT
DTC communication uses the CAN communication system.

(d) Power Steering ECU/Techstream display "EPS"





HINT
DTC communication uses the CAN communication system.

(e) Seat Belt Control ECU/Techstream display "Pre-Collision"





HINT
DTC communication uses the CAN communication system.

(f) Navigation ECU/Techstream display "AVN1"





HINT
DTC communication uses the CAN communication system.

(g) Gateway ECU

HINT
* The gateway ECU is connected to the CAN communication system, but CAN communication DTCs are not output.
* DTC communication uses the SIL line.
(h) Center Airbag Sensor

HINT
The center airbag sensor is connected to the CAN communication system, but CAN communication DTCs are not output.

(i) Steering Angle Sensor

HINT
The steering angle sensor is connected to the CAN communication system, but CAN communication DTCs are not output.

(j) Yaw Rate Sensor

HINT
The yaw rate sensor is connected to the CAN communication system, but CAN communication DTCs are not output.

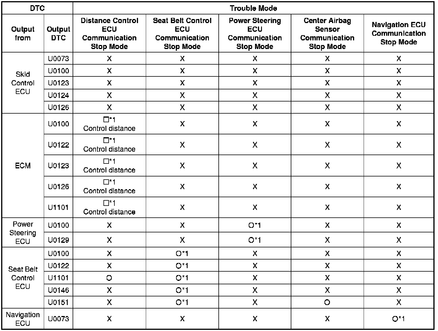
5. DTC COMBINATION TABLE









HINT
* o: Set
* X: Not set or may be set according to the malfunction part when one side of the CAN bus branch opens.
* [Square]: Set under the condition shown in the table.
* *1: DTC is not output during communication error.
* ECM Communication Stop Mode ECM Communication Stop Mode
* Skid Control ECU Communication Stop Mode Skid Control ECU Communication Stop Mode
* Steering Angle Sensor Communication Stop Mode Steering Angle Sensor Communication Stop Mode
* Yaw Rate Sensor Communication Stop Mode Yaw Rate Sensor Communication Stop Mode
* Power Steering ECU Communication Stop Mode Power Steering ECU Communication Stop Mode
* Center Airbag sensor Communication Stop Mode Center Airbag Sensor Communication Stop Mode
* Gateway ECU Communication Stop Mode Gateway ECU Communication Stop Mode
* Distance Control ECU Communication Stop Mode Distance Control ECU Communication Stop Mode
* Seat Belt Control ECU Communication Stop Mode Seat Belt Control ECU Communication Stop Mode
* Navigation ECU Communication Stop Mode Navigation ECU Communication Stop Mode