Curiosii for ever!: Car repair manuals for everyone.

Diagnosis System





CAN COMMUNICATION: CAN COMMUNICATION SYSTEM: DIAGNOSIS SYSTEM

1. BUS CHECK

(a) Using the Techstream, Select "CAN Bus Check" from the "System select".

2. CHECK FOR INSTALLED SYSTEMS (ECUS & SENSORS) THAT USE CAN COMMUNICATION

(a) Systems (ECUs, sensors) that use CAN communication vary depending on the vehicle optional equipment. Check which systems (ECUs, sensors) are installed on the vehicle.





3. DTC TABLE BY ECU

HINT
* In the CAN communication system, CAN communication system DTCs can be displayed by the ECU using the Techstream.
* If CAN communication system DTCs are output, trouble cannot be determined only by the DTCs. Perform troubleshooting according to "HOW TO PROCEED WITH TROUBLESHOOTING" How to Proceed With Troubleshooting. (If, however, U0235 or U1101/U01102 is output alone, see the dynamic laser cruise control system.)
(a) ECM

HINT
* DTC communication uses the CAN communication system.
* Distance control ECU data is also output.






* *1: The ECM is malfunctioning if U0001 is output alone. Replace the ECM.

* *2: If only DTC U0101 is output, refer to SFI system (for 1UR-FSE) U0101.

* *3: Dynamic laser cruise DTC

* *4: Displayed on the "communication malfunction DTCs" screen of the Techstream. If U0235 or U1102 is output alone, the CAN communication is normal U0235 for U0235, U1102 for U1102).

(b) SKID CONTROL ECU

HINT
* DTC communication uses the CAN communication system.
* *1: for 1UR-FSE only






(c) ABSORBER CONTROL ECU

HINT
DTC communication uses the SIL line.





(d) POWER STEERING ECU





(e) SEAT BELT CONTROL ECU





(f) DISTANCE CONTROL ECU





(g) STEERING CONTROL ECU





(h) 4WD CONTROL ECU





(i) NAVIGATION ECU/Techstream display "AVN1"

HINT
DTC communication uses the CAN communication system.





(j) GATEWAY CAN ECU





(k) FRONT ACTIVE STABILIZER CONTROL ECU





(l) NETWORK GATEWAY ECU

HINT
The network gateway ECU is connected to the CAN communication system but CAN communication DTCs are not output.

(m) REAR ACTIVE STABILIZER CONTROL ECU

HINT
The rear active stabilizer control ECU is connected to the CAN communication system but CAN communication DTCs are not output.

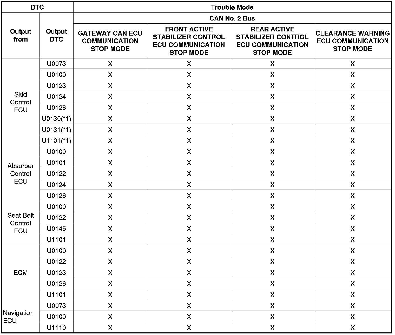
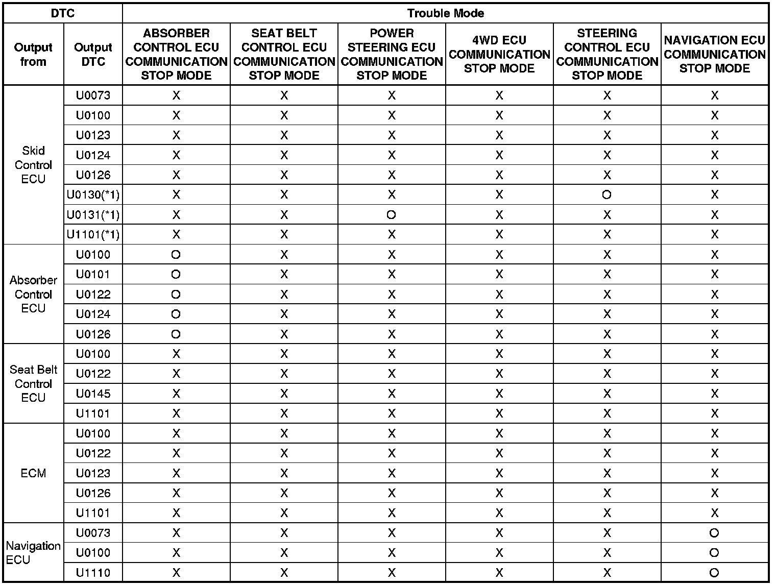
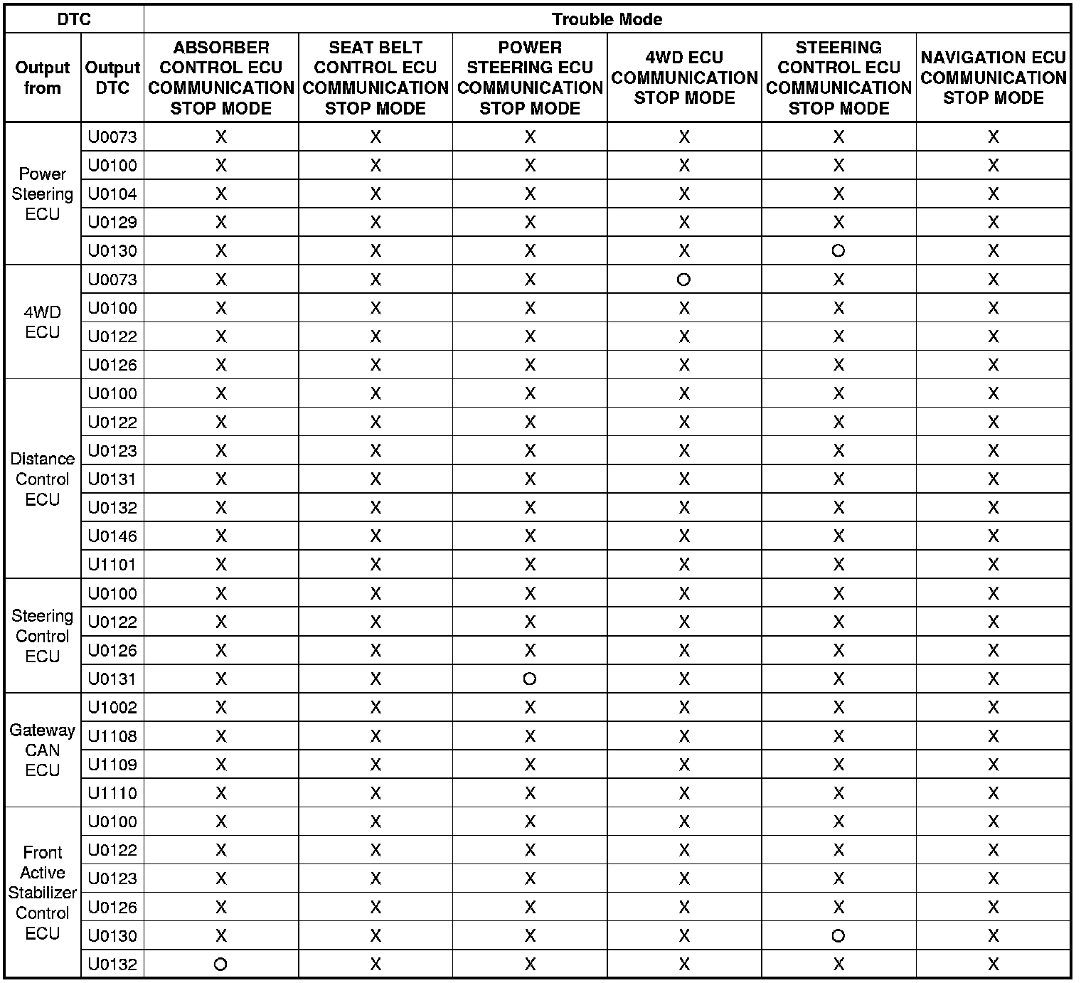
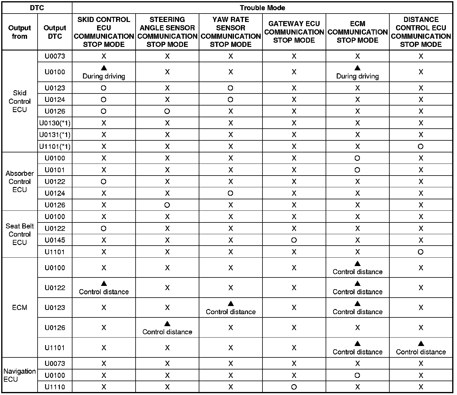
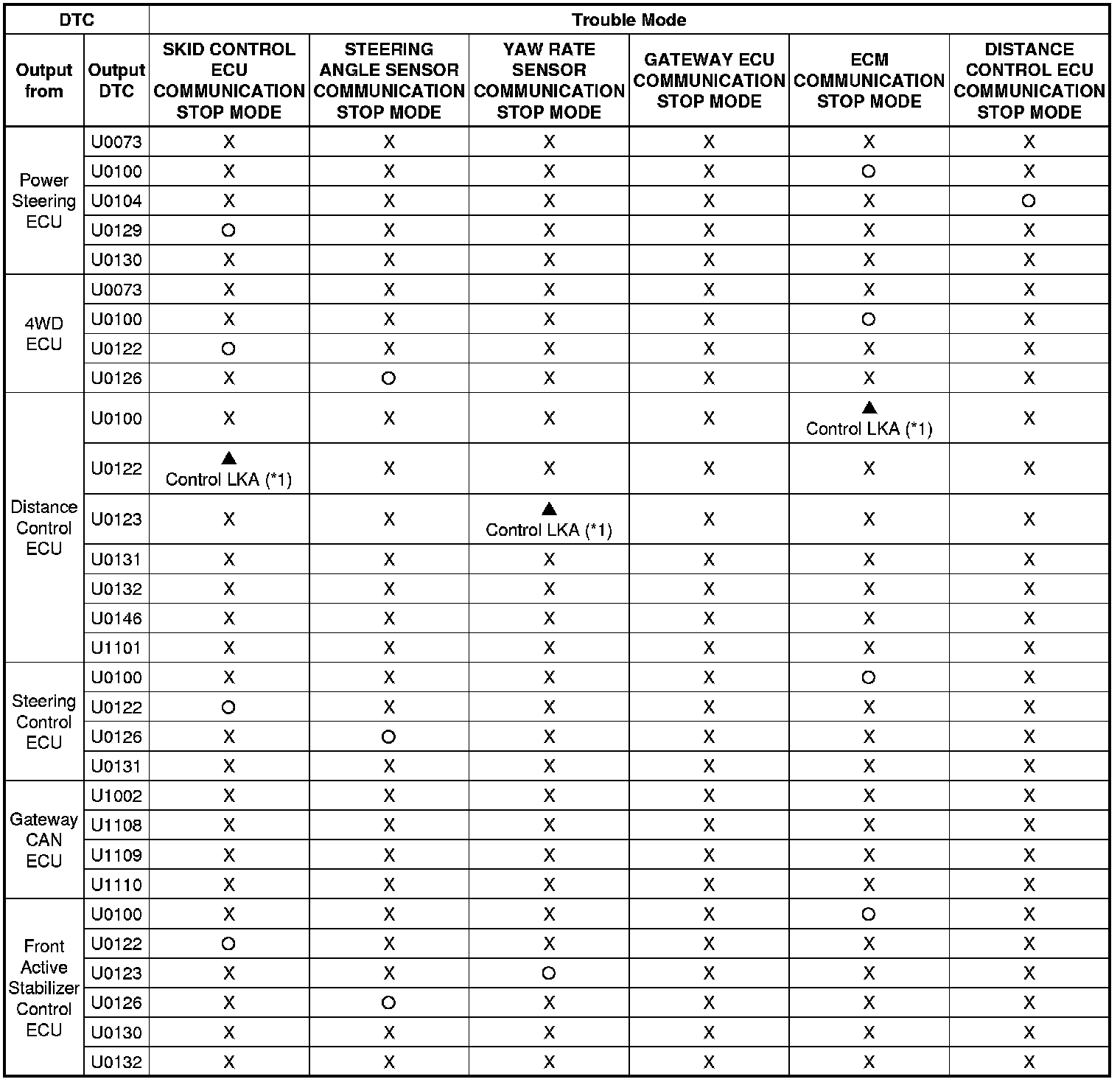
4. DTC COMBINATION TABLE





o Output

[Triangle] Outputs under the following condition

X Not output or may be output according to the malfunction part when one side of the CAN bus line opens

*1: for 1UR-FSE engine only





o Output

[Triangle] Outputs under the following condition

X Not output or may be output according to the malfunction part when one side of the CAN bus line opens

*1: for 1UR-FSE engine only





o Output

[Triangle] Outputs under the following condition

X Not output or may be output according to the malfunction part when one side of the CAN bus line opens

*1: for 1UR-FSE engine only





o Output

[Triangle] Outputs under the following condition

X Not output or may be output according to the malfunction part when one side of the CAN bus line opens

(*1) Lane keep assist





o Output

[Triangle] Outputs under the following condition

X Not output or may be output according to the malfunction part when one side of the CAN bus line opens





o Output

[Triangle] Outputs under the following condition

X Not output or may be output according to the malfunction part when one side of the CAN bus line opens

*: When CAN No. 2 communication error other than ECM error, a DTC is stored

(a) Perform troubleshooting according to the combination of DTCs output.

* ECM COMMUNICATION STOP MODE: ECM Communication Stop Mode

* SKID CONTROL ECU COMMUNICATION STOP MODE: Skid Control ECU Communication Stop Mode

* YAW RATE SENSOR COMMUNICATION STOP MODE: Yaw Rate Sensor Communication Stop Mode

* STEERING ANGLE SENSOR COMMUNICATION STOP MODE: Steering Angle Sensor Communication Stop Mode

* DISTANCE CONTROL ECU COMMUNICATION STOP MODE: Distance Control ECU Communication Stop Mode

* SEAT BELT CONTROL ECU COMMUNICATION STOP MODE: Seat Belt Control ECU Communication Stop Mode

* STEERING CONTROL ECU COMMUNICATION STOP MODE: Steering Control ECU Communication Stop Mode

* ABSORBER CONTROL ECU COMMUNICATION STOP MODE: Absorber Control ECU Communication Stop Mode

* GATEWAY ECU COMMUNICATION STOP MODE: Gateway ECU Communication Stop Mode

* POWER STEERING ECU COMMUNICATION STOP MODE: Power Steering ECU Communication Stop Mode

* CLEARANCE WARNING ECU COMMUNICATION STOP MODE: Clearance Warning ECU Communication Stop Mode

* NAVIGATION ECU COMMUNICATION STOP MODE: Navigation ECU Communication Stop Mode

* 4WD CONTROL ECU COMMUNICATION STOP MODE: 4WD Control ECU Communication Stop Mode

* GATEWAY CAN ECU COMMUNICATION STOP MODE: Gateway ECU Communication Stop Mode

* FRONT ACTIVE STABILIZER CONTROL ECU COMMUNICATION STOP MODE: U1108

* REAR ACTIVE STABILIZER CONTROL ECU COMMUNICATION STOP MODE: U1109