Curiosii for ever!: Car repair manuals for everyone.

Diagnosis System








CAN COMMUNICATION: CAN COMMUNICATION SYSTEM: DIAGNOSIS SYSTEM

DIAGNOSIS SYSTEM

1. CAN BUS CHECK
(a) Using the Techstream, select "CAN Bus Check" from the "System Select".
2. CHECK FOR INSTALLED SYSTEMS (ECUS AND SENSORS) THAT ADOPT CAN COMMUNICATION
(a) The systems (ECUs and sensors) that adopt CAN communication vary depending on the vehicle optional settings. Check which systems (ECUs and sensors) are installed on the vehicle.






3. DTC TABLE BY ECU
HINT:
If CAN communication system DTCs are output, trouble cannot be determined only by the DTCs. Perform troubleshooting according to "HOW TO PROCEED WITH TROUBLESHOOTING" How to Proceed With Troubleshooting. (If however, U0235 or U01102 is output alone, see the dynamic radar cruise control system.)

(a) ECM / Techstream display: "Engine"
HINT:
- DTC communication uses the CAN communication system.
- Distance control ECU data is also output.





- *1: The ECM is malfunctioning if U0101 is output. Replace the ECM.
- *2: If U0235 or U1102 is output alone, the CAN communication is normal U0235 for U0235, U1102 for U1102).
- *3: Dynamic radar cruise DTC

(b) ECM / Techstream display: "ECT"
HINT:
- DTC communication uses the CAN communication system.





- *1: The ECM is malfunctioning if U0100 is output. Replace ECM.

(c) SKID CONTROL ECU / Techstream display: "ABS/VSC/TRAC"
HINT:
DTC communication uses the CAN communication system.





(d) POWER STEERING ECU / Techstream display: "EPS"
HINT:
DTC communication uses the CAN communication system.





(e) SEAT BELT CONTROL ECU / Techstream display: "Pre-collision"
HINT:
DTC communication uses the CAN communication system.





HINT:
*4: If U0235 or U1102 is output alone, CAN communication is normal U0235 for U0235, U0235 for U1102).

(f) 4WD CONTROL ECU / Techstream display: "Four Wheel Drive Control"
HINT:
DTC communication uses the CAN communication system.





(g) GATEWAY ECU
HINT:
The gateway ECU is connected to the CAN communication system, but CAN communication DTCs are not output.

(h) CENTER AIRBAG SENSOR
HINT:
The center airbag sensor is connected to the CAN communication system, but CAN communication DTCs are not output.

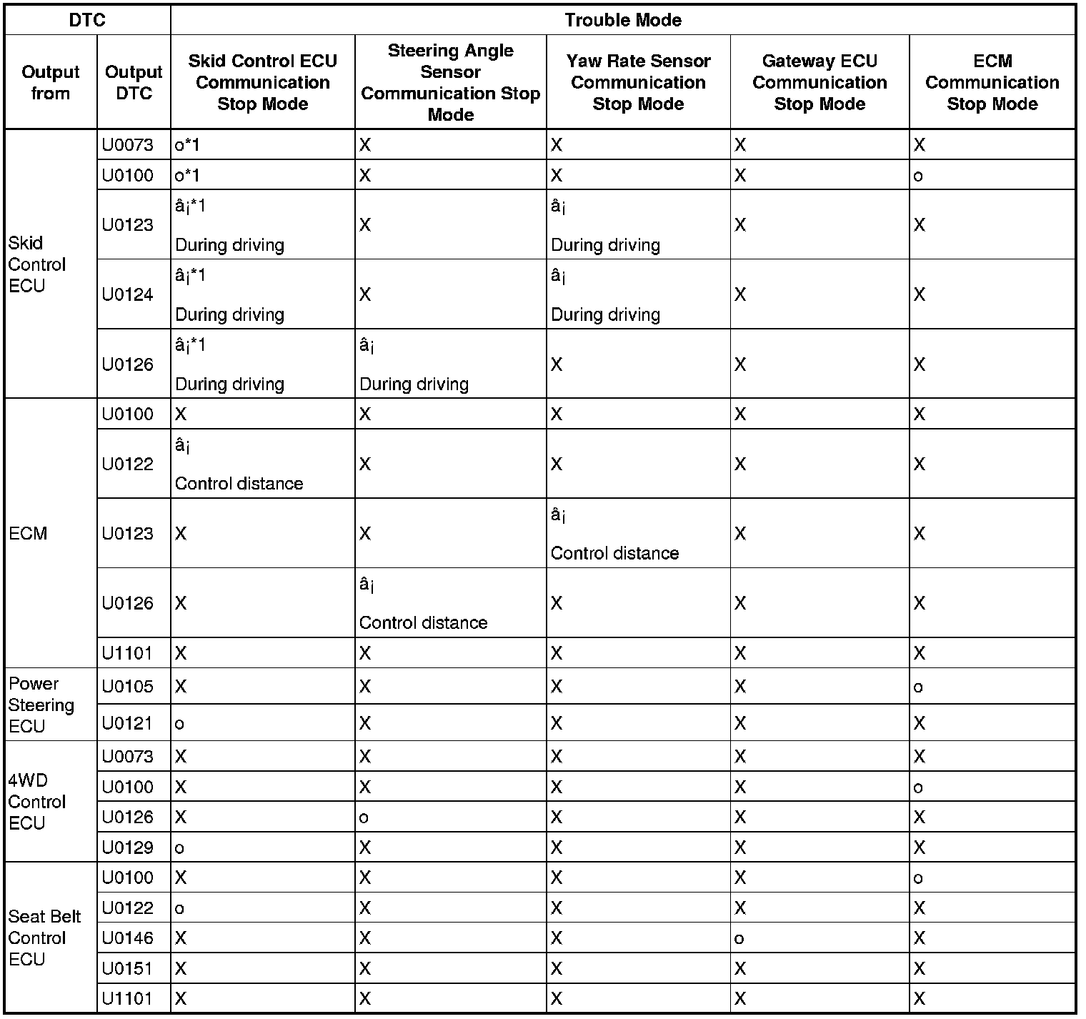
4. DTC COMBINATION TABLE










HINT:
- o: Set
- X: Not set or may be set according to the malfunctioning part when one side of the CAN branch line opens.
- □: Set under the condition shown in the table.
- *1:Does not output it during communication error
- Skid Control ECU Communication Stop Mode: Skid Control ECU Communication Stop Mode
- Steering Angle Sensor Communication Stop Mode: Steering Angle Sensor Communication Stop Mode
- Yaw Rate Sensor Communication Stop Mode: Yaw Rate Sensor Communication Stop Mode
- Gateway ECU Communication Stop Mode: Gateway ECU Communication Stop Mode
- ECM Communication Stop Mode: ECM Communication Stop Mode
- Distance Control ECU Communication Stop Mode: Distance Control ECU Communication Stop Mode
- Seat Belt Control ECU Communication Stop Mode: Seat Belt Control ECU Communication Stop Mode
- Power Steering ECU Communication Stop Mode: Power Steering ECU Communication Stop Mode
- 4WD Control ECU Communication Stop Mode: 4WD Control ECU Communication Stop Mode
- Center Airbag sensor Communication Stop Mode: Center Airbag Sensor Communication Stop Mode