Curiosii for ever!: Car repair manuals for everyone.

Service Data








SERVICE SPECIFICATIONS: AA80E AUTOMATIC TRANSMISSION: SERVICE DATA

SERVICE DATA

AUTOMATIC TRANSMISSION ASSEMBLY









NOTICE:
- All shift point values indicated in the above tables are actual values. Therefore, if checking a shift point with a chassis dynamometer, keep in mind that there is a range of error in the chassis dynamometer indication.
- If checking a shift point against the speed indicated on the speedometer, remember to consider the speedometer correction rate and range of error in the tester indication.

AUTOMATIC TRANSMISSION UNIT













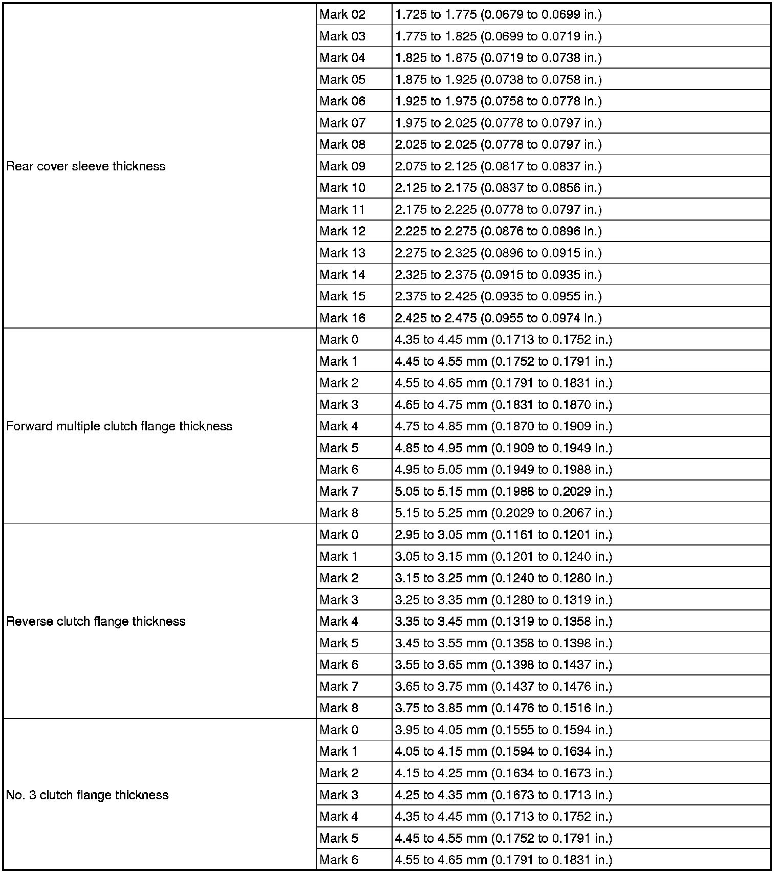
OIL PUMP