Curiosii for ever!: Car repair manuals for everyone.

Diagnosis System









CAN COMMUNICATION: CAN COMMUNICATION SYSTEM: DIAGNOSIS SYSTEM

1. BUS CHECK
(a) Using the Techstream, Select "CAN Bus Check" from the "System select".
2. CHECK FOR INSTALLED SYSTEMS (ECUS & SENSORS) THAT USE CAN COMMUNICATION
(a) Systems (ECUs, sensors) that use CAN communication vary depending on the vehicle's optional settings. Check which systems (ECUs, sensors) are installed on the vehicle.






3. DTC TABLE BY ECU
HINT:
- In the CAN communication system, CAN communication system DTCs can be displayed by the ECU using the Techstream.
- If CAN communication system DTCs are output, trouble cannot be determined only by the DTCs. Perform troubleshooting according to "HOW TO PROCEED WITH TROUBLESHOOTING" How to Proceed With Troubleshooting. (If, however, U0235 or U1101/U01102 is output alone, see the dynamic laser cruise control system.)

(a) ECM
HINT:
- DTC communication uses the CAN communication system.
- Distance control ECU data is also output.





- *1: The ECM is malfunctioning if U0001 is output alone. Replace the ECM.
- *2: If only DTC U0101 is output, refer to SFI system (for 1UR-FSE) Engine Control System - SFI System.
- *3: Dynamic laser cruise DTC.
- *4: Displayed on the "communication malfunction DTCs" screen of the Techstream. If U0235 or U1102 is output alone, the CAN communication is normal [1][2]Dynamic Radar Cruise Control System for U0235, Dynamic Radar Cruise Control System for U1102).

(b) SKID CONTROL ECU
HINT:
- DTC communication uses the CAN communication system.
- *1: for 1UR-FSE only





(c) ABSORBER CONTROL ECU
HINT:
DTC communication uses the SIL line.





(d) POWER STEERING ECU






(e) SEAT BELT CONTROL ECU






(f) DISTANCE CONTROL ECU






(g) STEERING CONTROL ECU






(h) GATEWAY CAN ECU






(i) FRONT ACTIVE STABILIZER CONTROL ECU






(j) NETWORK GATEWAY ECU
HINT:
The network gateway ECU is connected to the CAN communication system but CAN communication DTCs are not output.

(k) REAR ACTIVE STABILIZER CONTROL ECU
HINT:
The rear active stabilizer control ECU is connected to the CAN communication system but CAN communication DTCs are not output.

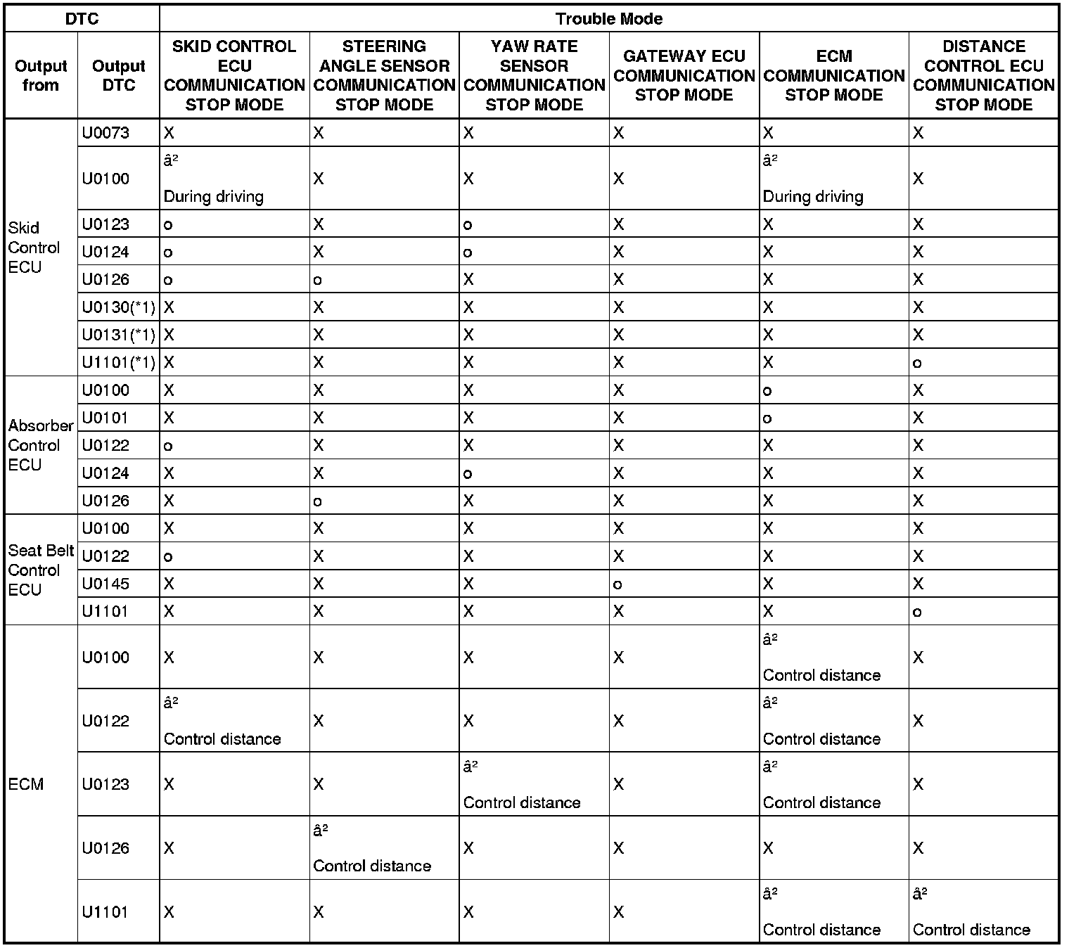
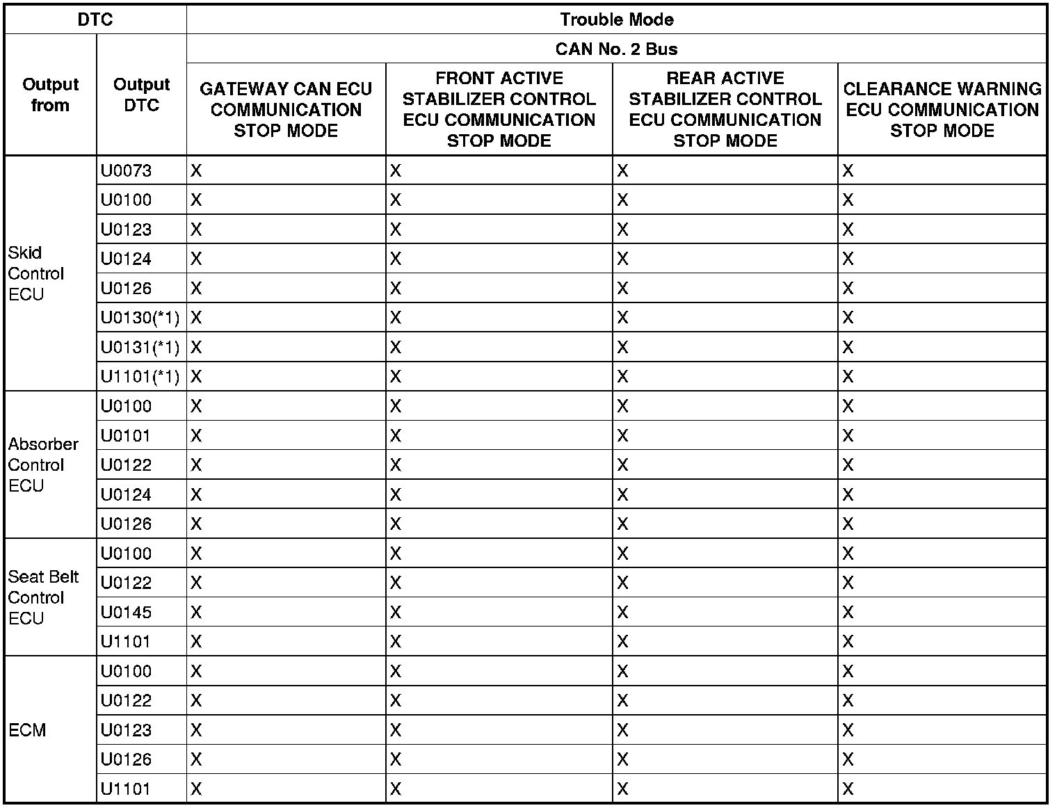
4. DTC COMBINATION TABLE






o Output
a2 Outputs under the following condition
X Not output or may be output according to the malfunction part when one side of the CAN bus line opens
*1: for 1UR-FSE engine only






o Output
a2 Outputs under the following condition
X Not output or may be output according to the malfunction part when one side of the CAN bus line opens
*1: for 1UR-FSE engine only






o Output
a2 Outputs under the following condition
X Not output or may be output according to the malfunction part when one side of the CAN bus line opens
*1: for 1UR-FSE engine only






o Output
a2 Outputs under the following condition
X Not output or may be output according to the malfunction part when one side of the CAN bus line opens
(*1) Lane keep assist






o Output
a2 Outputs under the following condition
X Not output or may be output according to the malfunction part when one side of the CAN bus line opens






o Output
a2 Outputs under the following condition
X Not output or may be output according to the malfunction part when one side of the CAN bus line opens
*: When CAN No. 2 communication error other than ECM error, a DTC is stored
(a) Perform troubleshooting according to the combination of DTCs output.
HINT:
- ECM COMMUNICATION STOP MODE: ECM Communication Stop Mode
- SKID CONTROL ECU COMMUNICATION STOP MODE: Skid Control ECU Communication Stop Mode
- YAW RATE SENSOR COMMUNICATION STOP MODE: Yaw Rate Sensor Communication Stop Mode
- STEERING ANGLE SENSOR COMMUNICATION STOP MODE: Steering Angle Sensor Communication Stop Mode
- DISTANCE CONTROL ECU COMMUNICATION STOP MODE: Distance Control ECU Communication Stop Mode
- SEAT BELT CONTROL ECU COMMUNICATION STOP MODE: Seat Belt Control ECU Communication Stop Mode
- STEERING CONTROL ECU COMMUNICATION STOP MODE: Steering Control ECU Communication Stop Mode
- ABSORBER CONTROL ECU COMMUNICATION STOP MODE: Absorber Control ECU Communication Stop Mode
- GATEWAY ECU COMMUNICATION STOP MODE: Gateway ECU Communication Stop Mode
- POWER STEERING ECU COMMUNICATION STOP MODE: Power Steering ECU Communication Stop Mode
- CLEARANCE WARNING ECU COMMUNICATION STOP MODE: Clearance Warning ECU Communication Stop Mode
- GATEWAY CAN ECU COMMUNICATION STOP MODE: Gateway ECU Communication Stop Mode
- FRONT ACTIVE STABILIZER CONTROL ECU COMMUNICATION STOP MODE: U1108
- REAR ACTIVE STABILIZER CONTROL ECU COMMUNICATION STOP MODE: U1109