Curiosii for ever!: Car repair manuals for everyone.

Registration

REGISTRATION

NOTE: The Vehicle Identification Number (VIN) must be input into the replacement HV control ECU.

HINT: The VIN is a 17-digit alphanumeric vehicle identification number. The intelligent tester is required to register the VIN.

1. INPUT INSTRUCTIONS
a. General VIN input instructions for use with the intelligent tester are as follows.
1. Intelligent Tester
The arrow buttons (UP, DOWN, RIGHT, and LEFT) and number buttons (0 to 9) are used to input the VIN.
2. Cursor Operation
To move the cursor around the tester screen, press the RIGHT and LEFT buttons.

b. Input of Letters
1. Press the UP and DOWN buttons to select the desired letter.
2. After selection, the cursor should move.

c. Input of Numbers
1. Press the number button that corresponds to the number that you want to input.
2. Select or input the correct character using the UP and DOWN buttons, or the number buttons.

HINT: Numbers can be selected using the UP and DOWN buttons.

d. Correction
1. After input, the cursor should move.
2. When correcting a character that has been input, put the cursor on the character using the RIGHT and LEFT buttons.

e. Finishing Input Operation
1. Make sure that the VIN input using the tester matches the vehicle's VIN.
2. Press the ENTER button on the tester.

2. READ VIN (Vehicle Identification Number)
a. The VIN reading process is explained using a flowchart as shown. Reading the VIN stored in the HV control ECU is necessary when comparing it to the VIN of the vehicle.
1. Read the VIN using the intelligent tester.
2. Check the vehicle's VIN.
3. Connect the intelligent tester to the DLC3.
4. Turn the power switch on (IG).
5. Turn the tester on.




6. Enter the given menus: DIAGNOSIS / ENHANCED OBD II / VIN.

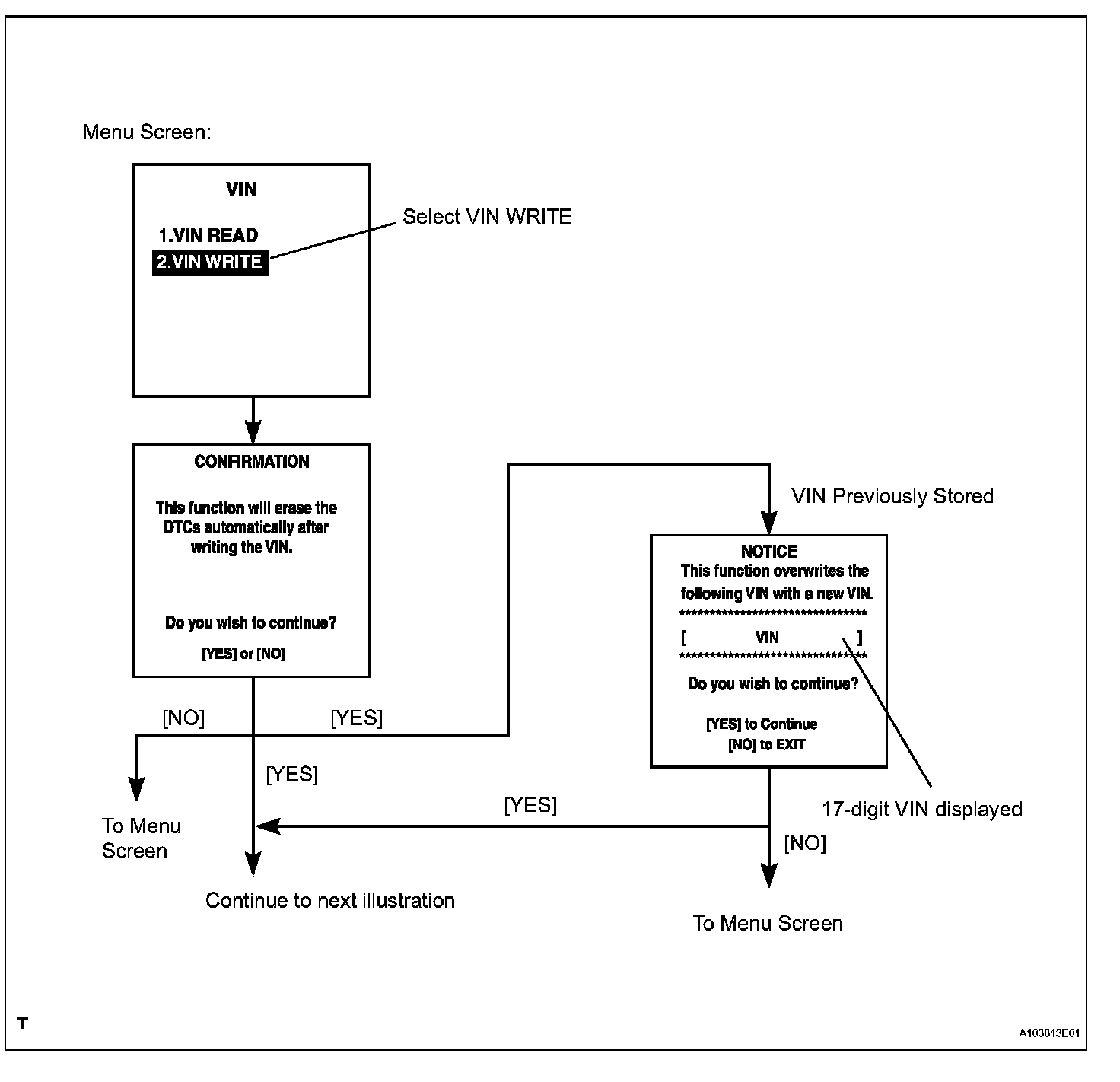
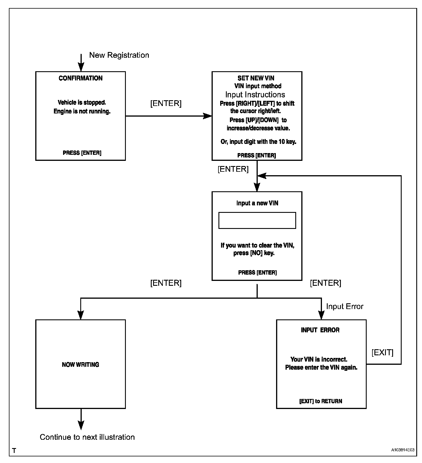
3. WRITE VIN
a. The VIN writing process is explained using a flowchart as shown. This process allows the VIN to be input into the HV control ECU. If the HV control ECU is changed, or the HV control ECU VIN and the vehicle's VIN do not match, the VIN can be registered, or overwritten in the HV control ECU by following this procedure.
1. Write VIN using the intelligent tester.
2. Connect the intelligent tester to the DLC3.
3. Turn the power switch on (IG).
4. Turn the tester on.










5. Enter the given menus: DIAGNOSIS / ENHANCED OBD II / VIN.