Curiosii for ever!: Car repair manuals for everyone.

Wireless Transmitter Memory Function Does Not Operate

Wireless Transmitter Memory Function Does Not Operate

DESCRIPTION
With the power switch OFF and the driver side door closed, press the M1, M2 or M3 switch and the transmitter's LOCK or UNLOCK switch. The main body ECU RH will receive a key recognition code signal through wireless radio waves, and send the key recognition code signal to the position control ECU and switch via the BEAN line. The position control ECU and switch then organizes the key recognition code received from the memory switch and sounds the buzzer (answer back) when the code is registered.

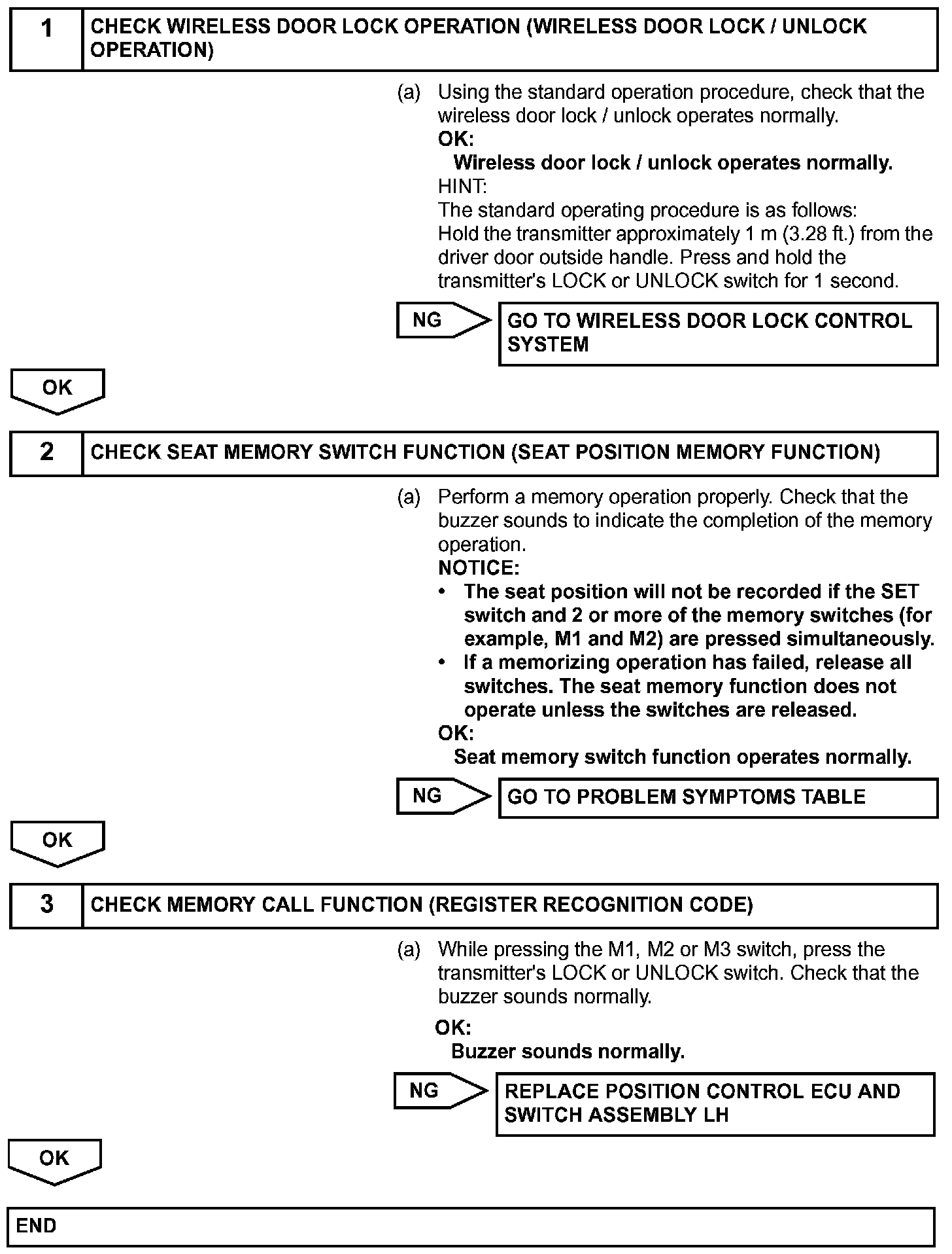
INSPECTION PROCEDURE

Step 1 - 3: