Curiosii for ever!: Car repair manuals for everyone.

Diagnosis System

DIAGNOSIS SYSTEM

1. BUS CHECK




a. Select "BUS CHECK" from the "OBD/MOBD MENU" screen.

HINT: The ECUs and sensors that are properly connected to the CAN communication system can be displayed using the intelligent tester via CAN VIM.




b. Press "ENTER" on the intelligent tester via the CAN VIM.




c. The screen displays the ECUs and sensors that are properly connected to the CAN communication system.

HINT: There is a communication stop in the system of any properly connected ECUs or sensors that are not displayed.

2. CHECK FOR INSTALLED SYSTEMS (ECUS & SENSORS) THAT USE CAN COMMUNICATION




a. Systems (ECUs, sensors) that use CAN communication vary depending on the vehicle's optional settings. Check which systems (ECUs, sensors) are installed on the vehicle.

3. DTC TABLE BY ECU

HINT:
- In the CAN communication system, CAN communication system DTCs can be displayed by the ECU using the intelligent tester.
- If CAN communication system DTCs are output, trouble cannot be determined only by the DTCs. Perform troubleshooting according to "HOW TO PROCEED WITH TROUBLESHOOTING". (If, however, U0235 or U1101/U01102 is output alone, see the dynamic laser cruise control system.)




a. ECM

HINT:
- DTC communication uses the CAN communication system.
- Distance control ECU data is also output.
- *1: The ECM is malfunctioning if U0001 is output alone. Replace the ECM.
- *2: Displayed on the "communication malfunction DTCs" screen of the intelligent tester. If U0235 or U1102 is output alone, the CAN communication is normal.
- *3: Dynamic laser cruise DTC.




b. SKID CONTROL ECU

HINT: DTC communication uses the SIL line.




c. ABSORBER CONTROL ECU

HINT: DTC communication uses the SIL line.




d. POWER STEERING ECU




e. SEAT BELT CONTROL ECU




f. DISTANCE CONTROL ECU




g. STEERING CONTROL ECU




h. GATEWAY CAN ECU




i. FRONT ACTIVE STABILIZER CONTROL ECU

j. NETWORK GATEWAY ECU

HINT: The network gateway ECU is connected to the CAN communication system but CAN communication DTCs are not output.

k. REAR ACTIVE STABILIZER CONTROL ECU

HINT: The rear active stabilizer control ECU is connected to the CAN communication system but CAN communication DTCs are not output.

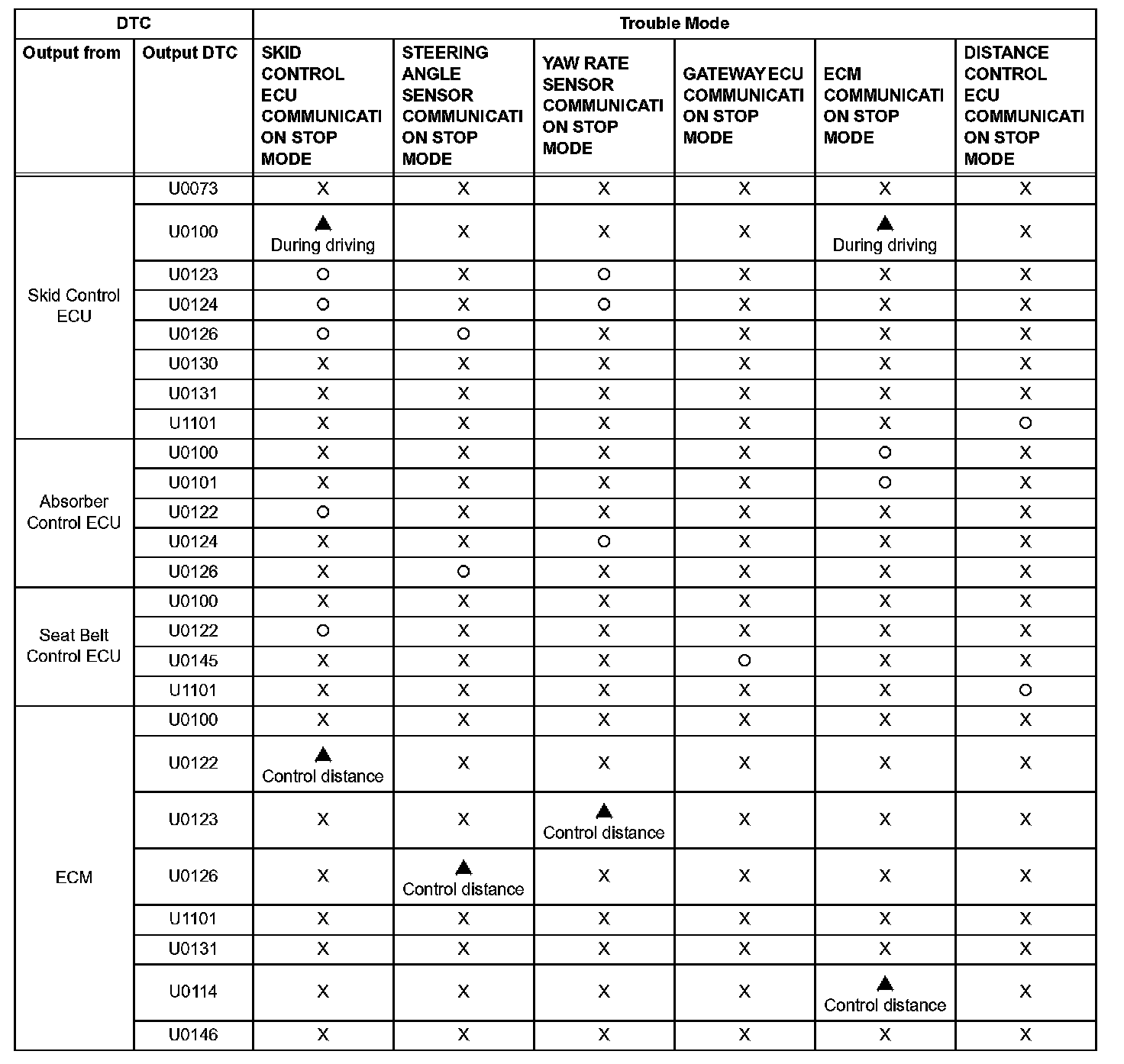
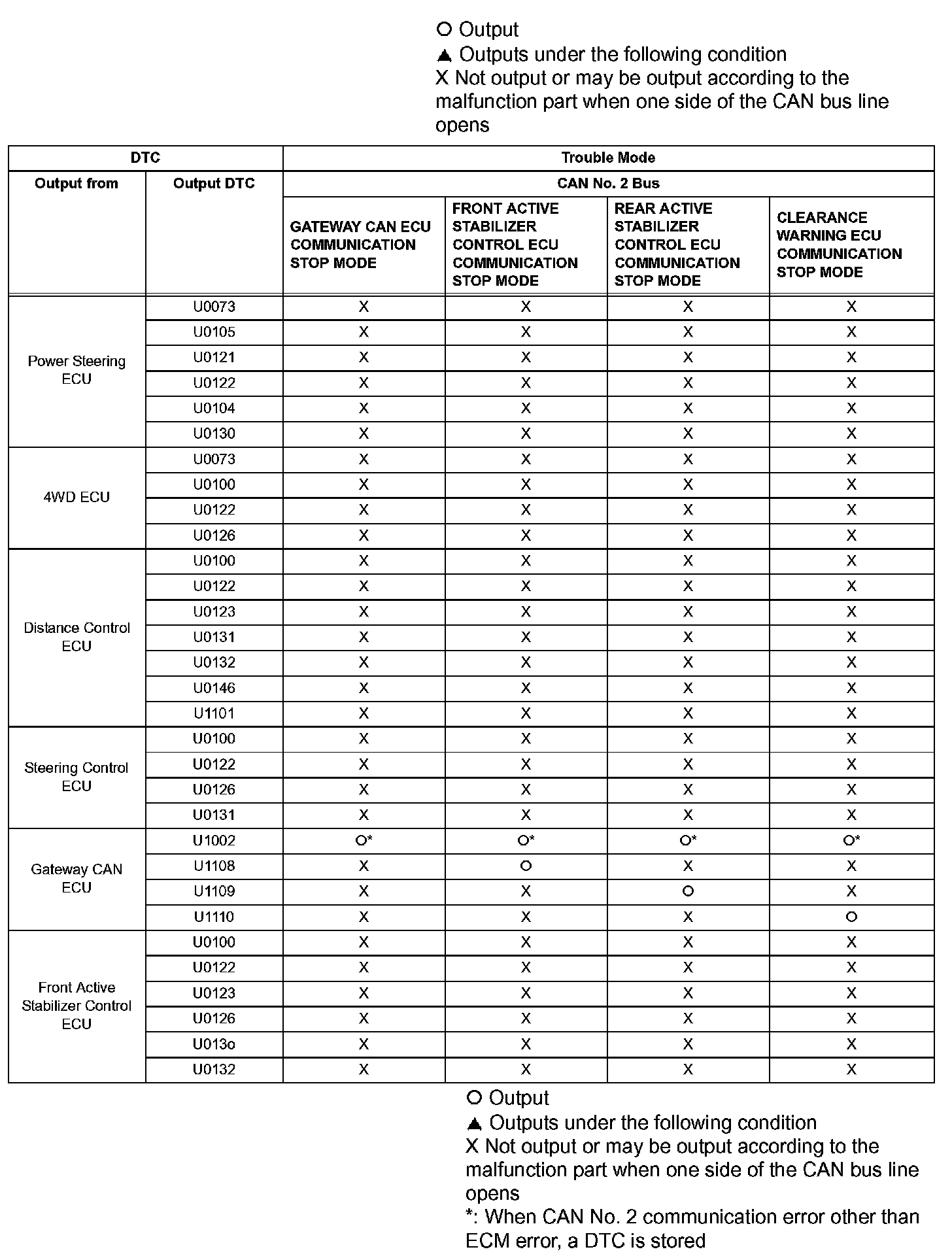
4. DTC COMBINATION TABLE

Part 1:




Part 2:




Part 3:




Part 4:




Part 5:




Part 6:




a. Perform troubleshooting according to the combination of DTCs output.

HINT:
- ECM COMMUNICATION STOP MODE:
- SKID CONTROL ECU COMMUNICATION STOP MODE:
- SKID CONTROL ECU WITH ACTUATOR COMMUNICATION STOP MODE:
- YAW RATE SENSOR COMMUNICATION STOP MODE:
- STEERING ANGLE SENSOR COMMUNICATION STOP MODE:
- DISTANCE CONTROL ECU COMMUNICATION STOP MODE:
- SEAT BELT CONTROL ECU COMMUNICATION STOP MODE:
- STEERING CONTROL ECU COMMUNICATION STOP MODE:
- ABSORBER CONTROL ECU COMMUNICATION STOP MODE:
- GATEWAY ECU COMMUNICATION STOP MODE:
- POWER STEERING ECU COMMUNICATION STOP MODE:
- CLEARANCE WARNING ECU COMMUNICATION STOP MODE:
- GATEWAY CAN ECU COMMUNICATION STOP MODE:
- FRONT ACTIVE STABILIZER CONTROL ECU COMMUNICATION STOP MODE:
- REAR ACTIVE STABILIZER CONTROL ECU COMMUNICATION STOP MODE: