Curiosii for ever!
: Car repair manuals for everyone.
Home
>>
Lexus
>>
2006
>>
SC 430 V8-4.3L (3UZ-FE)
>>
Repair and Diagnosis
>>
Relays and Modules
>>
Relays and Modules - Restraints and Safety Systems
>>
Air Bag Control Module
>>
Testing and Inspection
>>
Pinout Values and Diagnostic Parameters
Pinout Values and Diagnostic Parameters
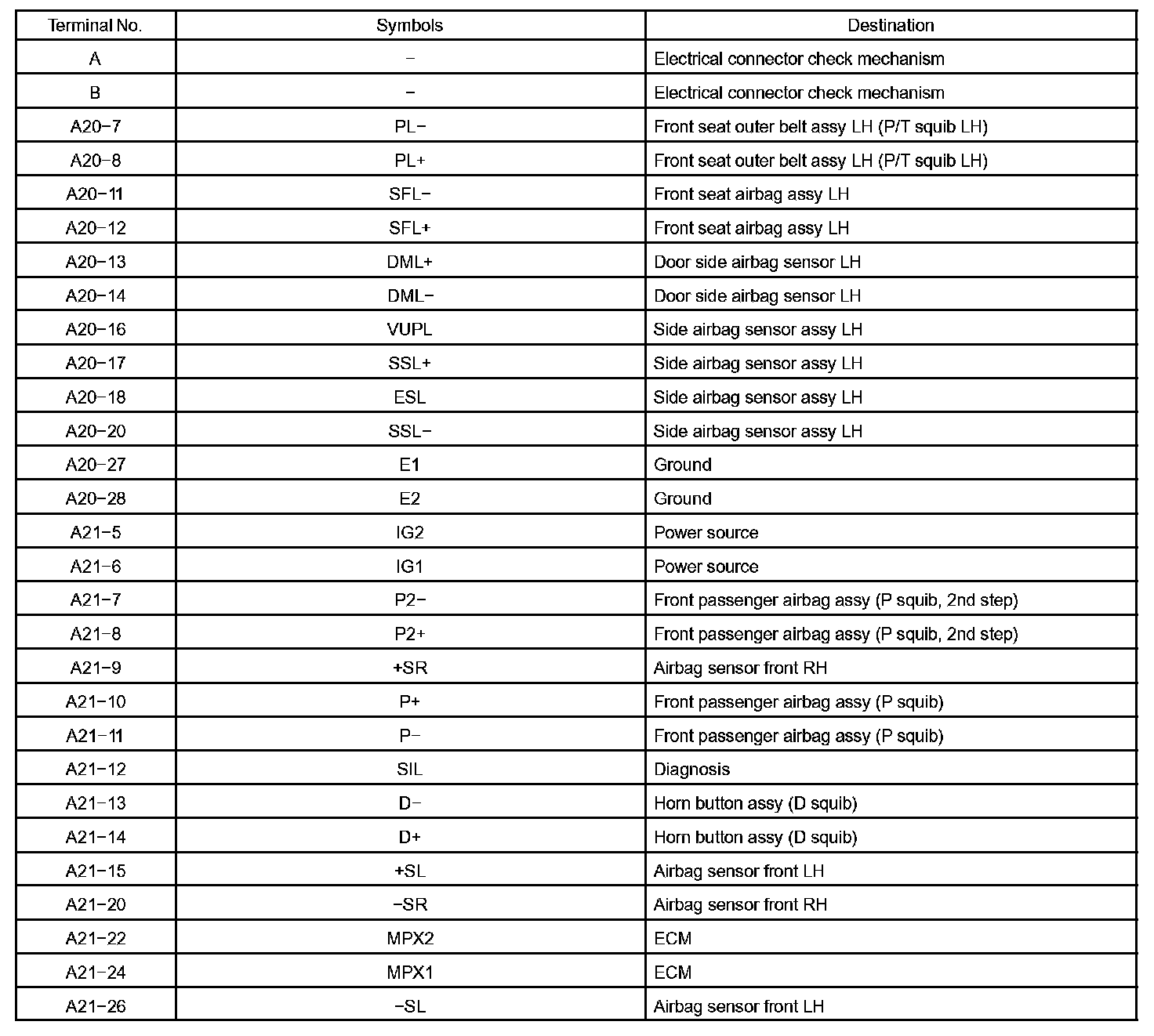
TERMINALS OF ECU
Terminals Of Control Module/Pinouts (Part 1):
Terminals Of Control Module/Pinouts (Part 2):
Terminals Of Control Module/Pinouts (Part 2):
1.
AIRBAG SENSOR ASSY CENTER ECU