Curiosii for ever!
: Car repair manuals for everyone.
Home
>>
Lexus
>>
2006
>>
LS 430 V8-4.3L (3UZ-FE)
>>
Repair and Diagnosis
>>
Diagrams
>>
Connector Views
>>
Air Bag Control Module
Air Bag Control Module
Terminals Of Control Modules/Pinouts-Airbag Sensor Assy Center (Part 1):
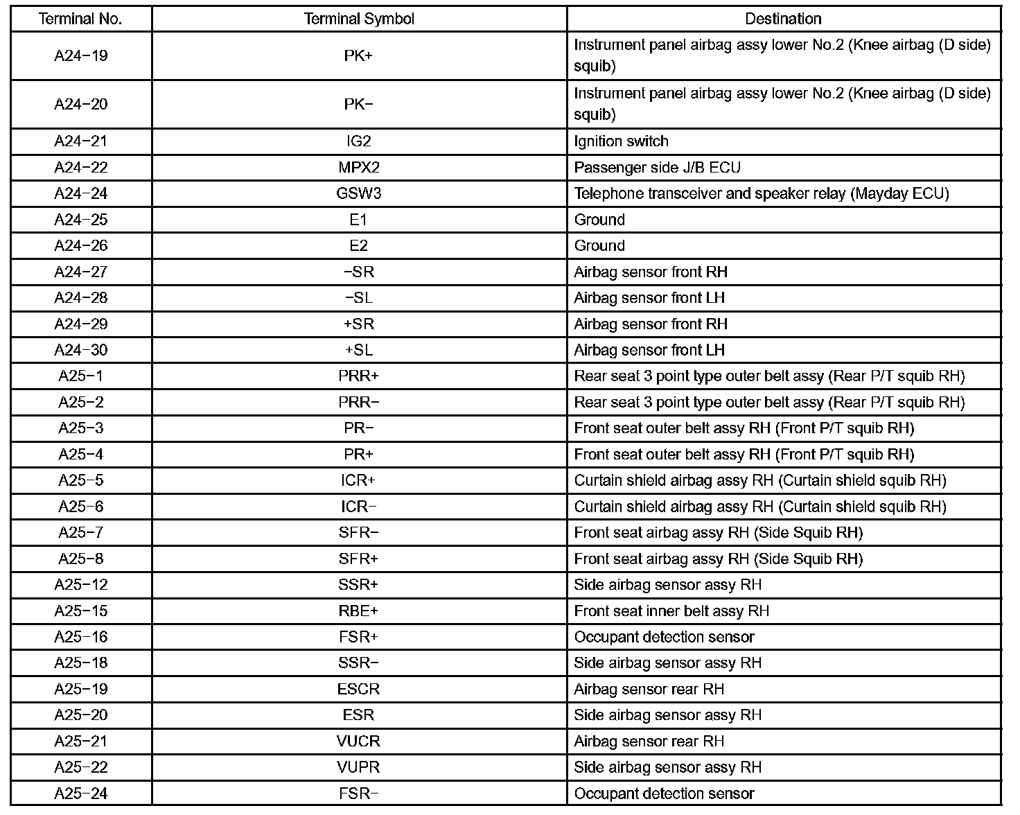
Terminals Of Control Modules/Pinouts-Airbag Sensor Assy Center (Part 2):