Curiosii for ever!: Car repair manuals for everyone.

Registration

REGISTRATION

1. DESCRIPTION OF REGISTRATION

HINT:
- Smart key codes are the same as recognition codes for the wireless transmitter. Registering a smart key code enables both the smart key system and the wireless door lock control system to be operated.
- Code registration is needed when the theft warning ECU (theft deterrent ECU) or smart key is replaced with a new one.
- There are 2 types of keys: a master key that has a trunk open switch, and a sub-key that does not have a trunk open switch.
- The smart key system functions can be operated only by a master key.

a. Select the operation mode from the following:
- New registration mode is used when the theft warning ECU is replaced with a new ECU. In this mode, be sure to register a master key code first. Otherwise, you cannot proceed to the add mode for registering other keys. If a sub-key code is registered first, pressing one of the transmitter's switches (master key (transmitter) switch operation in add mode*) to try to make an additional key registration erases the registered sub-key code.
*Refer to the registration flowchart.
- Add mode is used when a new key is added.
- After using erase mode to erase all smart key codes previously registered, use re-registration mode to reenter them.
- Erase mode is used to erase all the key codes except for the code for the master key that is used during erasure mode. Use this mode in such a case where the key is lost.
- Confirmation mode is used to confirm the number of key codes (master key and sub-key) that are registered in the theft warning ECU. During key code registration mode (new registration mode or add mode), you can confirm the number of registered key codes on the tester's screen, "SMART (KEY) CODE REGISTRATION".

b. Perform the code registration and the code erasure according to the flowcharts (see steps 2 and 3).

HINT: Up to 5 master keys and 3 sub-keys can be registered in the theft warning ECU.

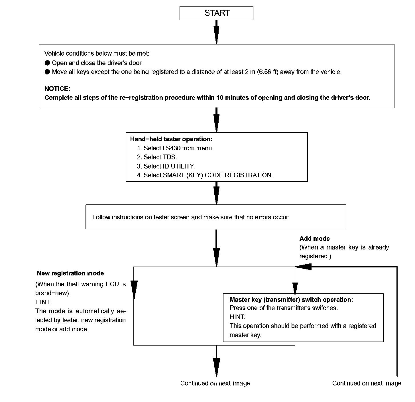
2. REGISTRATION OF NEW AND ADDITIONAL SMART KEY CODE
a. Register a smart key code using the hand-held tester.








HINT:
- A brief outline of procedures for key code registration is shown. For more detailed information, please refer to the hand-held tester screen's instructions.
- The number of currently registered codes can be checked on the first screen, "SMART (KEY) CODE REGISTRATION".

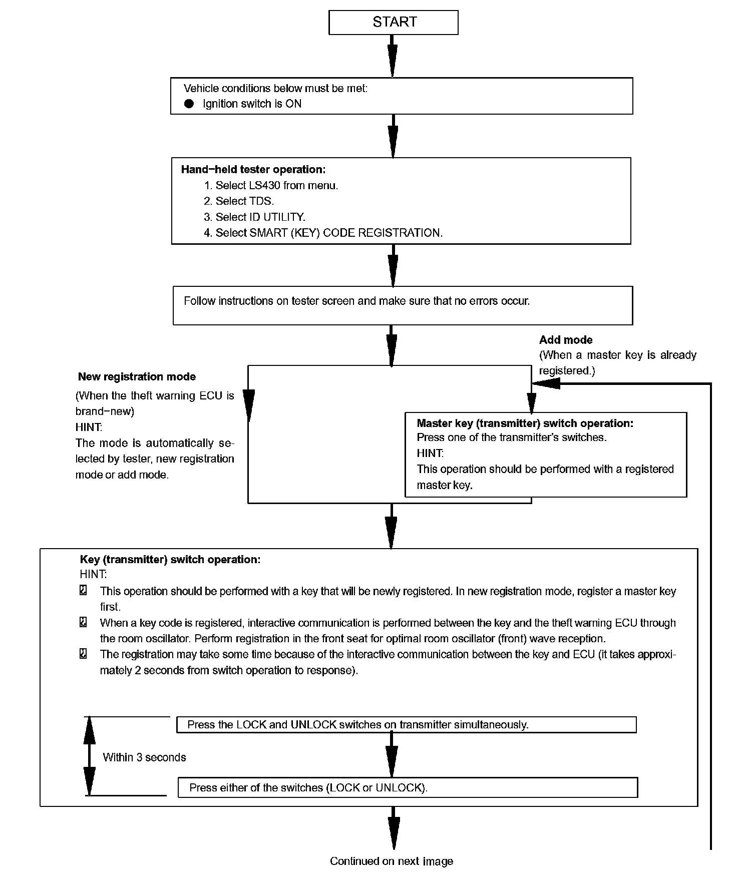
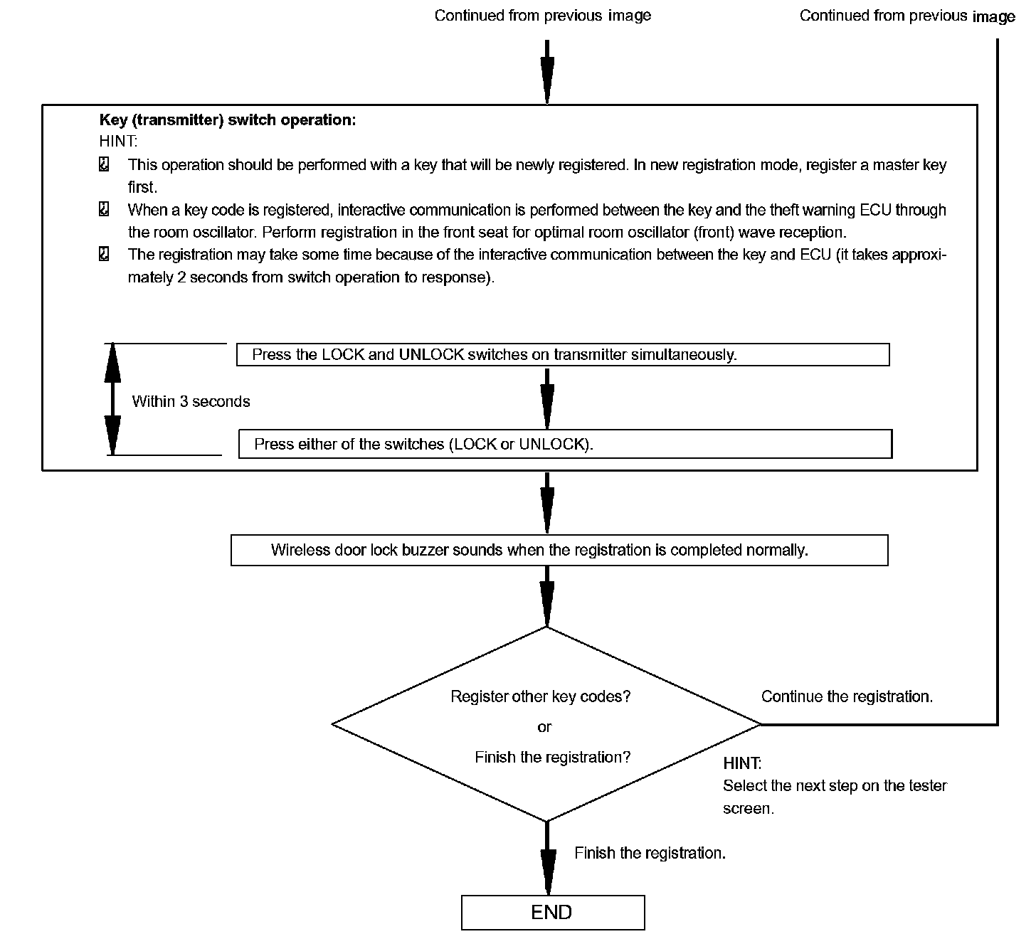
3. RE-REGISTRATION OF SMART KEY CODES AFTER ALL KEY CODES ERASED
a. Register a smart key code using the hand-held tester.

Part 1:




Part 2:





HINT:
- A brief outline of procedures for key code registration is shown. For more detailed information, please refer to the hand-held tester screen's instructions.
- The number of currently registered codes can be checked on the first screen, "SMART (KEY) CODE REGISTRATION".

4. ERASURE OF SMART KEY CODE




a. Erase the smart key codes using the hand-held tester.

HINT: A brief outline of procedures for key code registration is shown. For more detailed information, please refer to the hand-held tester screen's instructions.




5. RESET OF SMART KEY CODE
a. Reset the smart key codes using the hand-held tester.

HINT:
- A brief outline of procedures for key code reset is shown. For more detailed information, please refer to the hand-held tester screen's instructions.
- The SEED NUMBER is a 6-digit code.
- The PASS-CODE NUMBER is a 6-digit code.
- Reset mode will take approximately 16 minutes to complete.