Curiosii for ever!
: Car repair manuals for everyone.
Home
>>
Lexus
>>
2005
>>
LS 430 V8-4.3L (3UZ-FE)
>>
Repair and Diagnosis
>>
Relays and Modules
>>
Relays and Modules - Restraints and Safety Systems
>>
Air Bag Control Module
>>
Testing and Inspection
>>
Pinout Values and Diagnostic Parameters
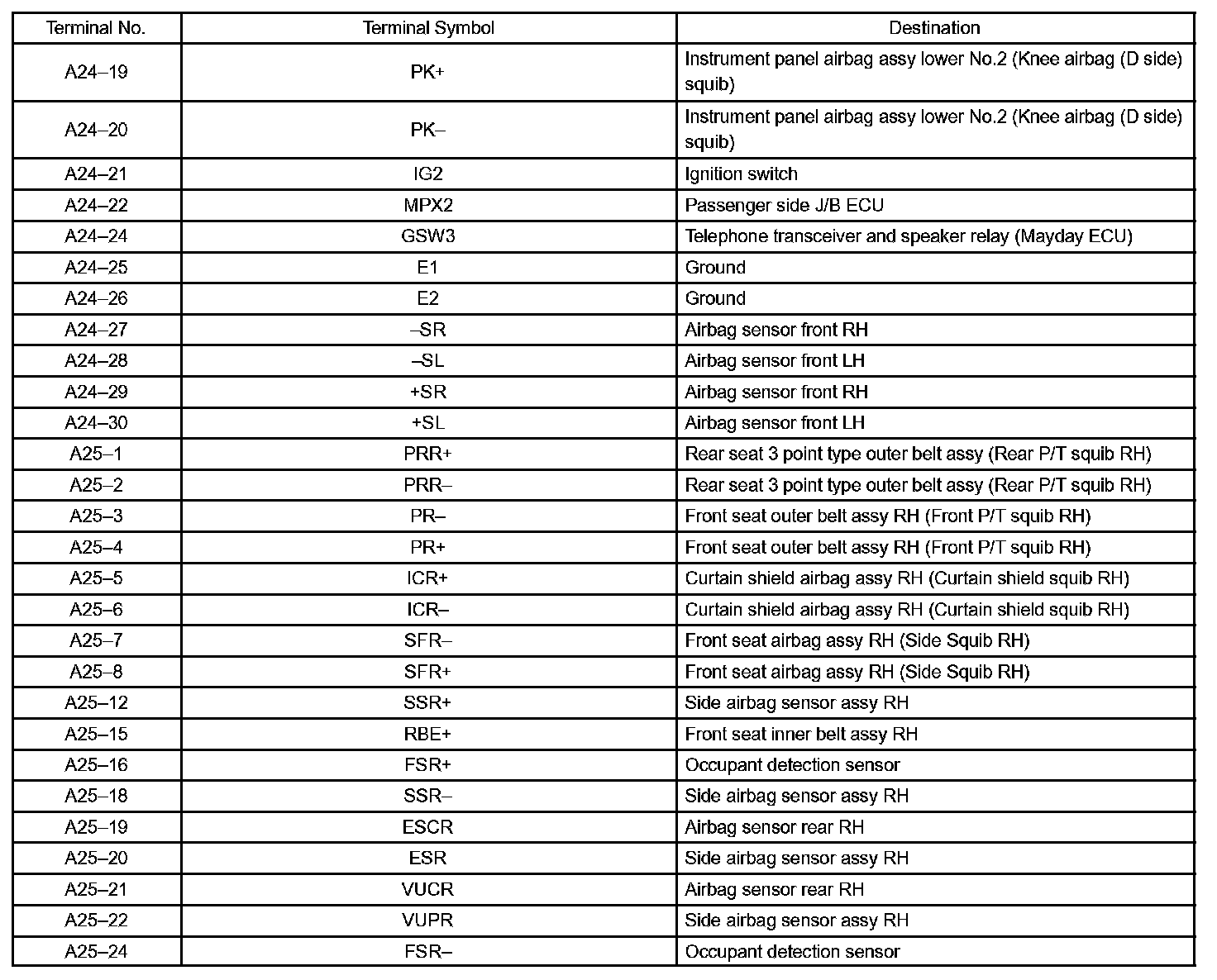
Pinout Values and Diagnostic Parameters
Terminals Of Control Module / Pinouts Part 1:
Terminals Of Control Module / Pinouts Part 2: