Curiosii for ever!: Car repair manuals for everyone.

Registration

REGISTRATION

HINT:
- Recognition code registration is necessary when replacing the door control transmitter or the door control receiver. The key has 2 codes: the key code (immobilizer code) and wireless code. All of these cod types need to be registered. Refer to the key code (immobilizer code) registration procedures. [1][2]Initial Inspection and Diagnostic Overview
- Add mode is used to register new recognition codes while still retaining codes already registered. This mode is used when a new transmitter is added. If the number of registered codes exceeds 4, the previously registered codes will be erased, starting from the first registered code.
- Rewrite mode is used to erase all the previously registered recognition codes in order to register all- new recognition codes. This mode is used when the transmitter or the door control receiver is replaced.
- Confirmation mode is used to confirm how many recognition codes have already been registered before another recognition code is registered.
- Prohibition mode is used to erase all the registered codes and disable the wireless door lock function. This mode is used when the transmitter is lost.
- All of the following registration procedures must be performed in order.

1. REGISTER RECOGNITION CODE

Part 1:




Part 2:




When using the hand-held tester

2. REGISTER RECOGNITION CODE

Part 1:




Part 2:




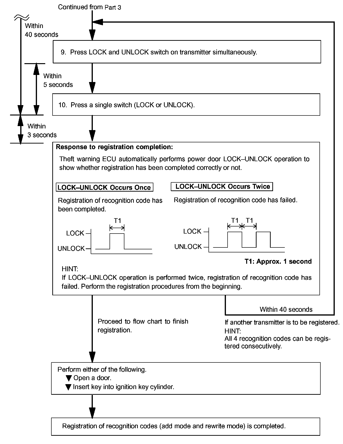
Part 3:




Part 4:




When not using the hand-held tester