Curiosii for ever!
: Car repair manuals for everyone.
Home
>>
Lexus
>>
2005
>>
GS 300 L6-3.0L (2JZ-GE)
>>
Repair and Diagnosis
>>
Specifications
>>
Mechanical Specifications
>>
Engine
>>
Cylinder Block Assembly
>>
System Specifications
>>
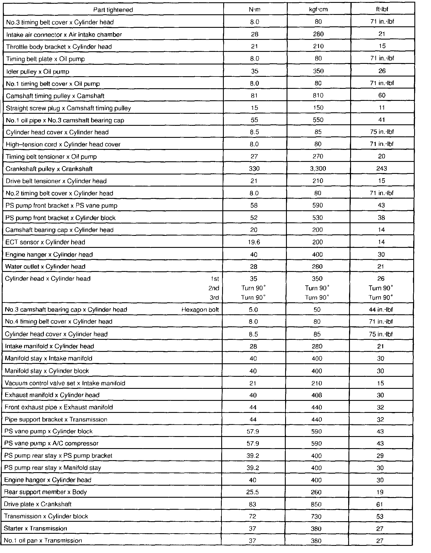
Torque Specifications
Torque Specifications
ENGINE MECHANICAL
Part 1 Of 2:
Part 2 Of 2:
TORQUE SPECIFICATION