Curiosii for ever!: Car repair manuals for everyone.

Keyless Entry Transmitter: Service and Repair

REPLACE DOOR CONTROL RECEIVER AND TRANSMITTER

NOTE: When replacing the door control receiver and transmitter, registration of recognition code is necessary because they are provided as single components.

a. Select which operation mode should be performed from the following modes.
- Add mode
- Rewrite mode
- Prohibition mode
- Confirmation mode

HINT:
- The add mode is used to retain codes already registered while you register new recognition codes. This mode is used when adding a transmitter. However, if the number of registered codes exceeds 4 codes, previously registered codes are correspondingly erased in order, starting from the first registered code.
- The rewrite mode is used to erase all previously registered codes and register only new recognition codes.
- The prohibition mode is used to erase all registered codes and cancels the wireless door lock function. Use this mode when the transmitter is lost.
- The confirmation mode is for confirming how many recognition codes are already registered before you register additional recognition codes.

Part 1:




Part 2:




Part 3:




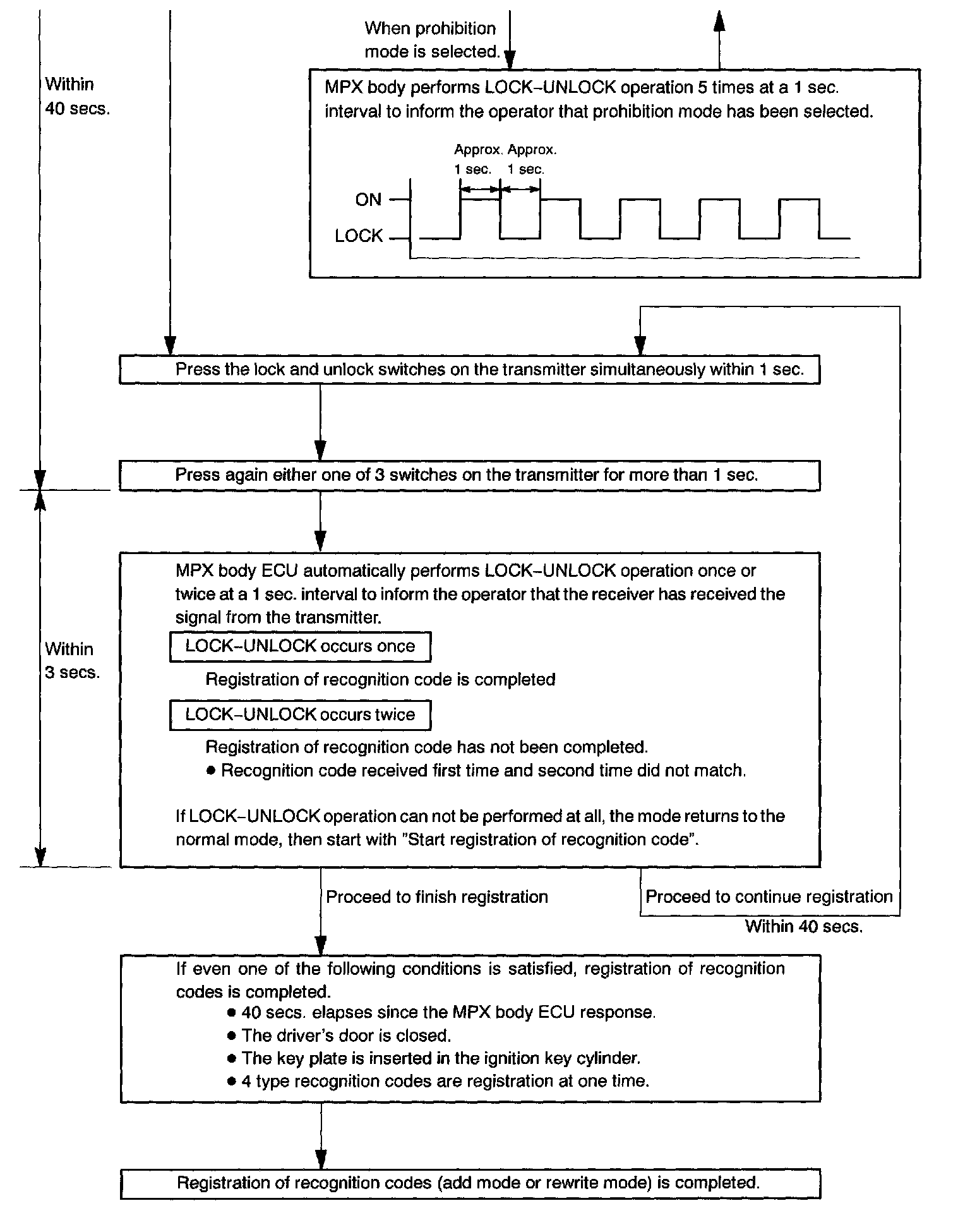
b. Follow the chart to register the transmitter recognition code at the wireless door lock control receiver.

HINT:
- When procedure is out of the specified, the operation returns to normal operation.
- Maximum 4 recognition codes can be registered.